• Предмет: Алгебра
  • Автор: rubanovich07
  • Вопрос задан 8 лет назад

Помните сс первыми 3!
Срочно!!

Приложения:

Ответы

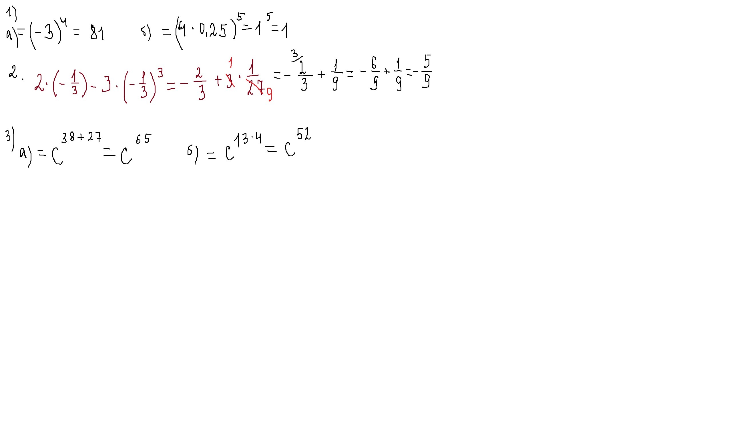
Ответ дал: parus77
0

смотри решение внизу.

Приложения:
Вас заинтересует