• Предмет: Математика
  • Автор: StrikeR222
  • Вопрос задан 8 лет назад

Решите пожалуйста...

Приложения:

Ответы

Ответ дал: Operetto4ka
0

Ответ:

A

Пошаговое объяснение:

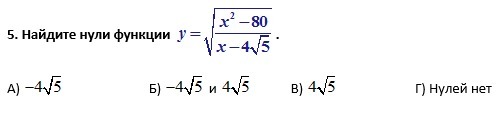
left { {{x^{2} =80} atop {xneq 4sqrt{5} }} right.

left { {{x=4sqrt{5}, or x=-4sqrt{5} } atop {xneq4sqrt{5}}} right.

x=-4sqrt{5}

Ответ дал: akaman32
0

Ответ:

А) -4√5

Пошаговое объяснение:

Значение функции буде равно 0 при х²-80=0

Однако нужно не допустить случая, когда х-4√5=0, чтобы исключить деление на нуль.

х²-80=0

х=±√80

х₁=4√5     х₂= -4√5  

Тепрь проверим случай х-4√5=0

х=4√5 - недопустимый вариант решения.

Значит правильный ответ: А) -4√5

Вас заинтересует