Ответы
                                            Ответ дал: 
                                                                                    
                                        
                                            
                                                
                                                
                                                
                                                    0
                                                
                                            
                                        
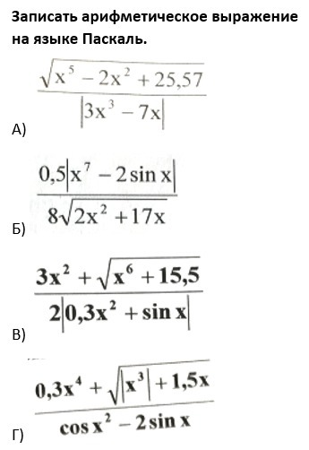
                                    a) sqrt(sqr(x) * sqr(x) * x - 2 * sqr(x) + 25.57)/abs(3 * sqr(x) * x - 7 * x)
б) (0.5 * abs(sqr(x) * sqr(x) * sqr(x) * x - 2 * sin(x)))/(8 * sqrt(2 * sqr(x) + 17 * x))
в) (3 * sqr(x) + sqrt(sqr(x) * sqr(x) * sqr(x) + 15.5))/(2 * abs(0.3 * sqr(x) + sin(x)))
г) (0.3 * sqr(x) * sqr(x) + sqrt(abs(sqr(x) * x) + 1.5 * x))/(cos(sqr(x)) - 2 * (sin(x)))
                                            Ответ дал: 
                                                                                    
                                        
                                            
                                                
                                                
                                                
                                                    0
                                                
                                            
                                        
                                    
                                        Огромное спасибо за ответ!
                                    
                                        
                                        
                                
                                            Ответ дал: 
                                                                                    
                                        
                                            
                                                
                                                
                                                
                                                    0
                                                
                                            
                                        
                                    
                                        :3
                                    
                                        
                                        
                                Вас заинтересует
                
                        2 года назад
                    
                
                        2 года назад
                    
                
                        3 года назад
                    
                
                        9 лет назад
                    
                
                        9 лет назад
                    
                