• Предмет: Математика
  • Автор: damirzhusupov
  • Вопрос задан 8 лет назад

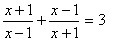
Решение уравнения x+1/x-1+x-1/x+1=3

Приложения:

Ответы

Ответ дал: Dushzhanov987
0

ttdisplaystyle frac{x+1}{x-1}+frac{x-1}{x+1}=3|cdot (x-1)(x+1)\ODZ: left { {{xneq1} atop {xneq-1}} right. \(x+1)^2+(x-1)^2=3(x^2-1)\x^2+2x+1+x^2-2x+1-3x^2+3=0\-x^2+5=0\x^2=5\left [{ {{x=sqrt{5}} atop {x=-sqrt{5}}} right.

Ответ: -sqrt{5};sqrt{5}

Вас заинтересует