• Предмет: Математика
  • Автор: Biyarslan
  • Вопрос задан 8 лет назад

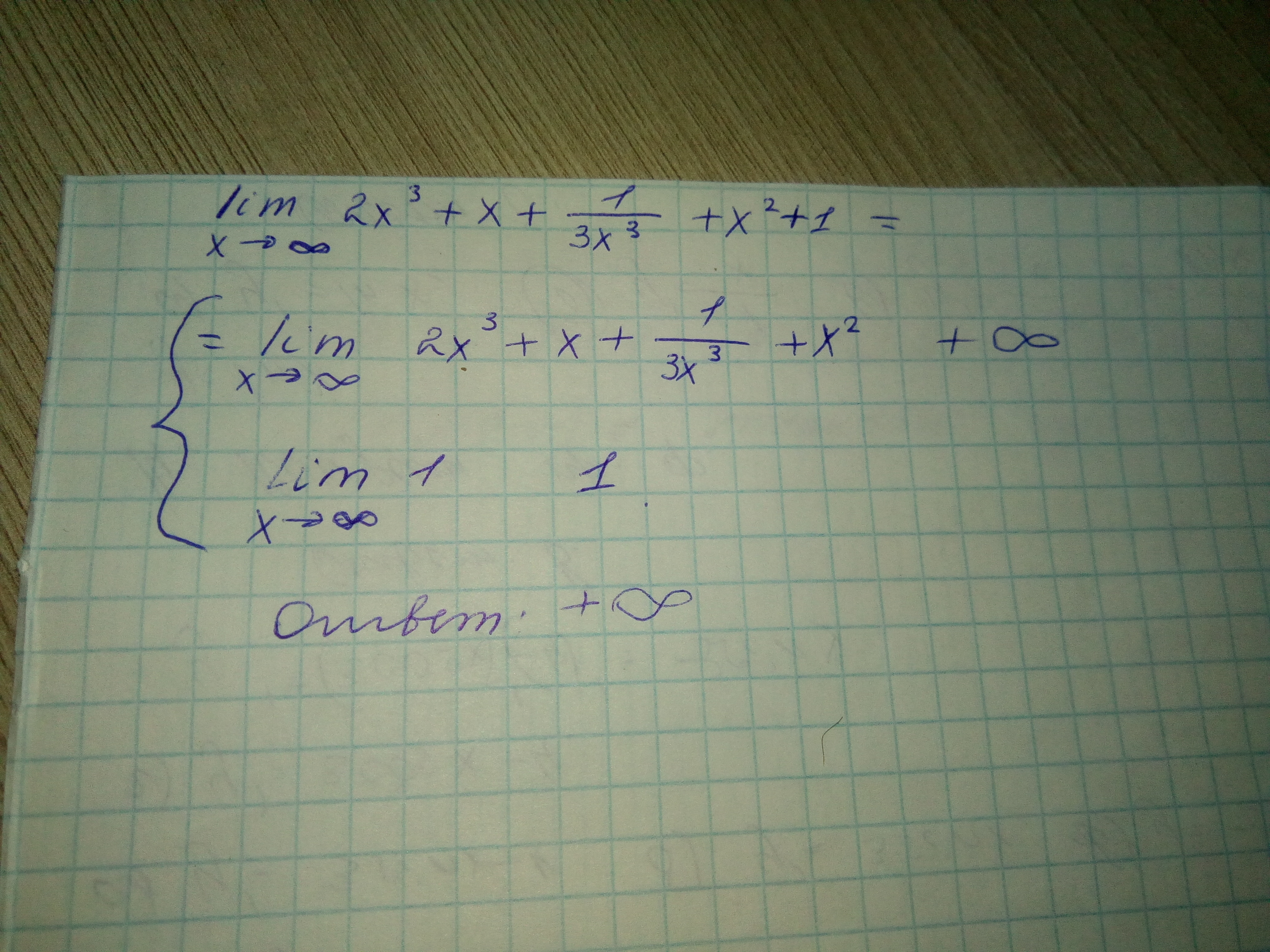
lim стремится бесконечность 2x^3+x+1/3x^3+x^2+1

Ответы

Ответ дал: kutak1999
0

Ответ:


Пошаговое объяснение:


Приложения:
Ответ дал: lidiasaraa3
0

Відповідь:на фото...............


Покрокове пояснення:


Приложения:
Вас заинтересует