Ответы
Ответ дал:
0
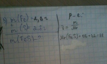
Fe + S = FeS

Ответ: 4,1 г FeS
Ответ: 4,1 г FeS
Вас заинтересует
2 года назад
2 года назад
3 года назад
3 года назад
9 лет назад
9 лет назад
10 лет назад