• Предмет: Алгебра
  • Автор: 22Шпрот22
  • Вопрос задан 8 лет назад

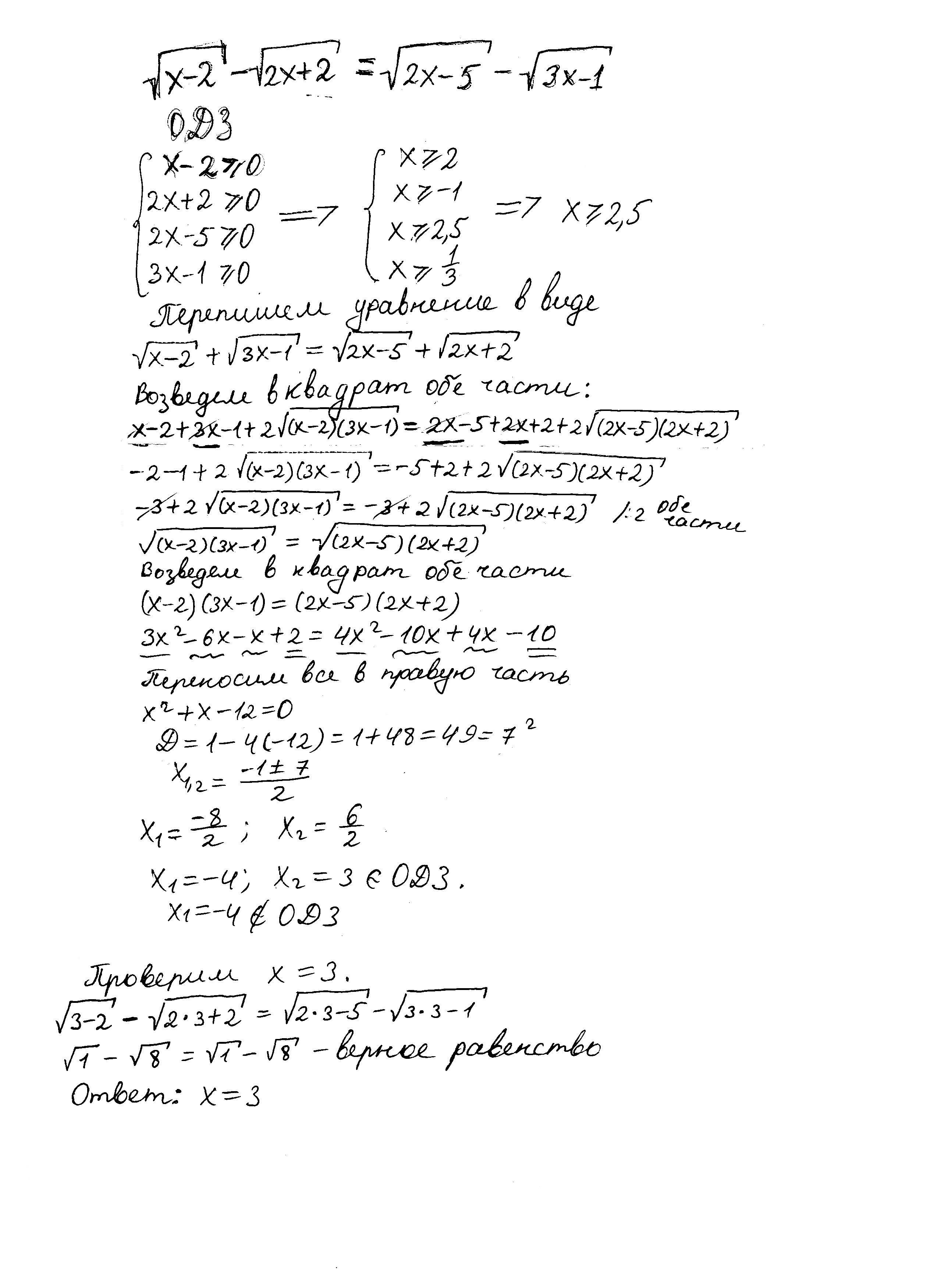
√(x-2)-√(2x+2)=√(2x-5)-√(3x-1)

Ответы

Ответ дал: bearcab
0

Ответ: х=3. Решение в приложении, должно быть понятно


Приложения:
Вас заинтересует