• Предмет: Алгебра
  • Автор: den4ik2638
  • Вопрос задан 8 лет назад

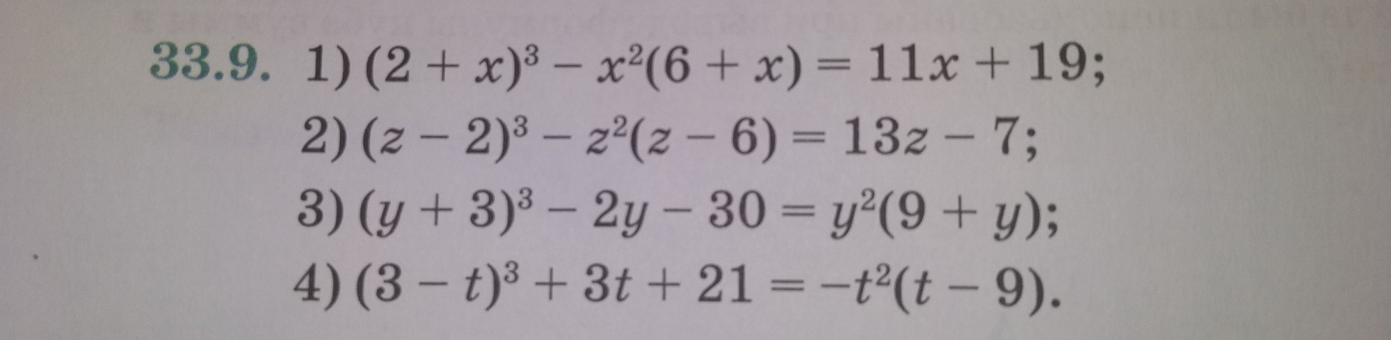
Решите Уравнение. (33.9);
Помогите Пожалуйста
Срочно

Приложения:

Ответы

Ответ дал: natalyabryukhova
0

===============================

Приложения:
Ответ дал: den4ik2638
0
спасибо большое
Вас заинтересует