• Предмет: Алгебра
  • Автор: elinavalisheva31
  • Вопрос задан 8 лет назад

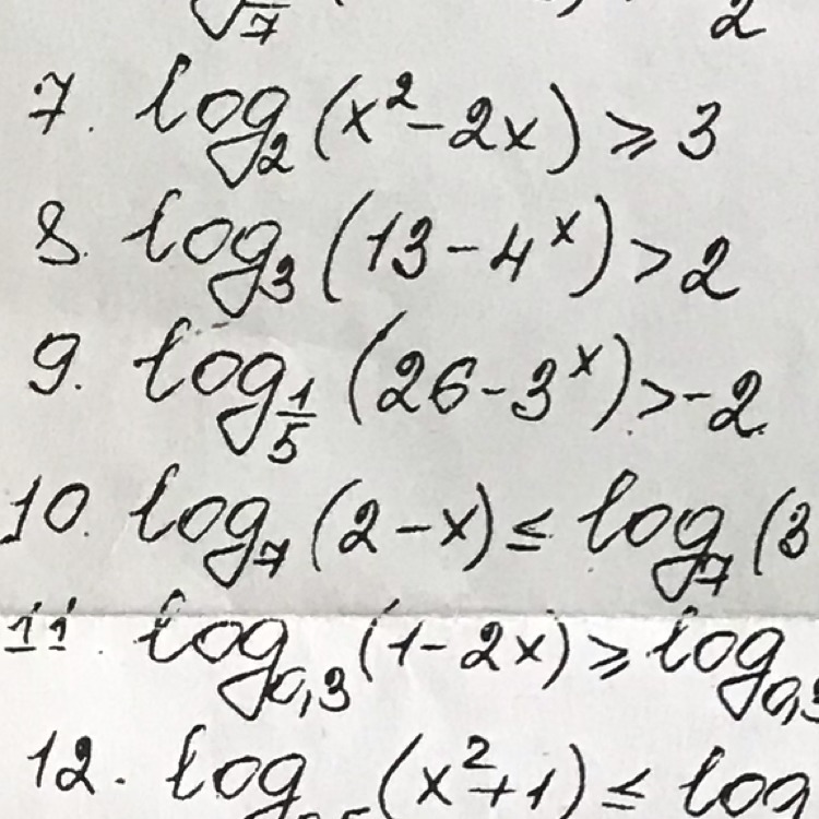
Номер 8 и 9 тренажёр по алгебре 10 класс логарифмические уравнения

Приложения:

Ответы

Ответ дал: Аноним
0

решение 9

26-3ˣ>(0.5)⁻²

26-3ˣ>25

-3ˣ>25-26

-3ˣ>-1

3ˣ<1

3ˣ<3⁰

x<0 ответ (- бесконечности:0)


Ответ дал: tane4ka2771
0
в самой первой строчке: так ка основание логарифма 1/5 то функция убывающая и знак неравенства нужно было сменить
Ответ дал: tane4ka2771
0

8) log₃(13-4^{x} )&gt;2

13-4^{x} &gt;3^{2}

13-9&gt;4^{x}

4^{x} &lt;4

x<1

x∈(-∞;1)

9) -log₅(26-3^{x})>-2

log₅(26-3^{x})<2

26-3^{x} &lt;5^{2}

26-25&lt;3^{x}

3^{x} &gt;1

x>0

x∈(0;+∞)


Вас заинтересует