• Предмет: Математика
  • Автор: skorohod1977ozryl7
  • Вопрос задан 8 лет назад

помогите записать краткую запись и решение задачи номер 22

Приложения:

Ответы

Ответ дал: vavdovina55
0

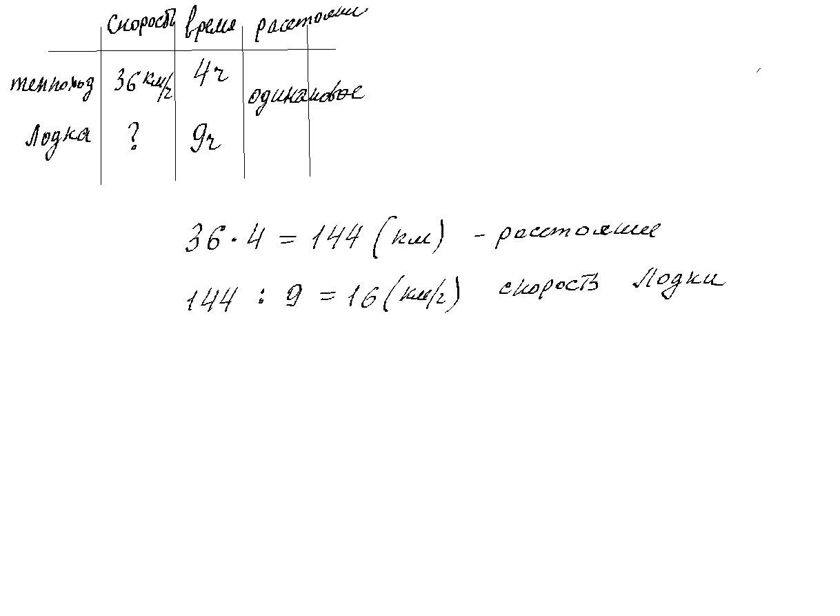
Ответ:


Пошаговое объяснение:


Приложения:
Ответ дал: azamatakh2002
0

Ответ:15 км/ч


Пошаговое объяснение:

S=Vt;

S(тепл)=S(лод) тогда

Vтепл*t(тепл)=Vлод*t(лод);

36*4=Vлод*9 значит

Vлод= 15 (км/ч)


Приложения:
Вас заинтересует