• Предмет: Геометрия
  • Автор: Angelina123452004
  • Вопрос задан 8 лет назад

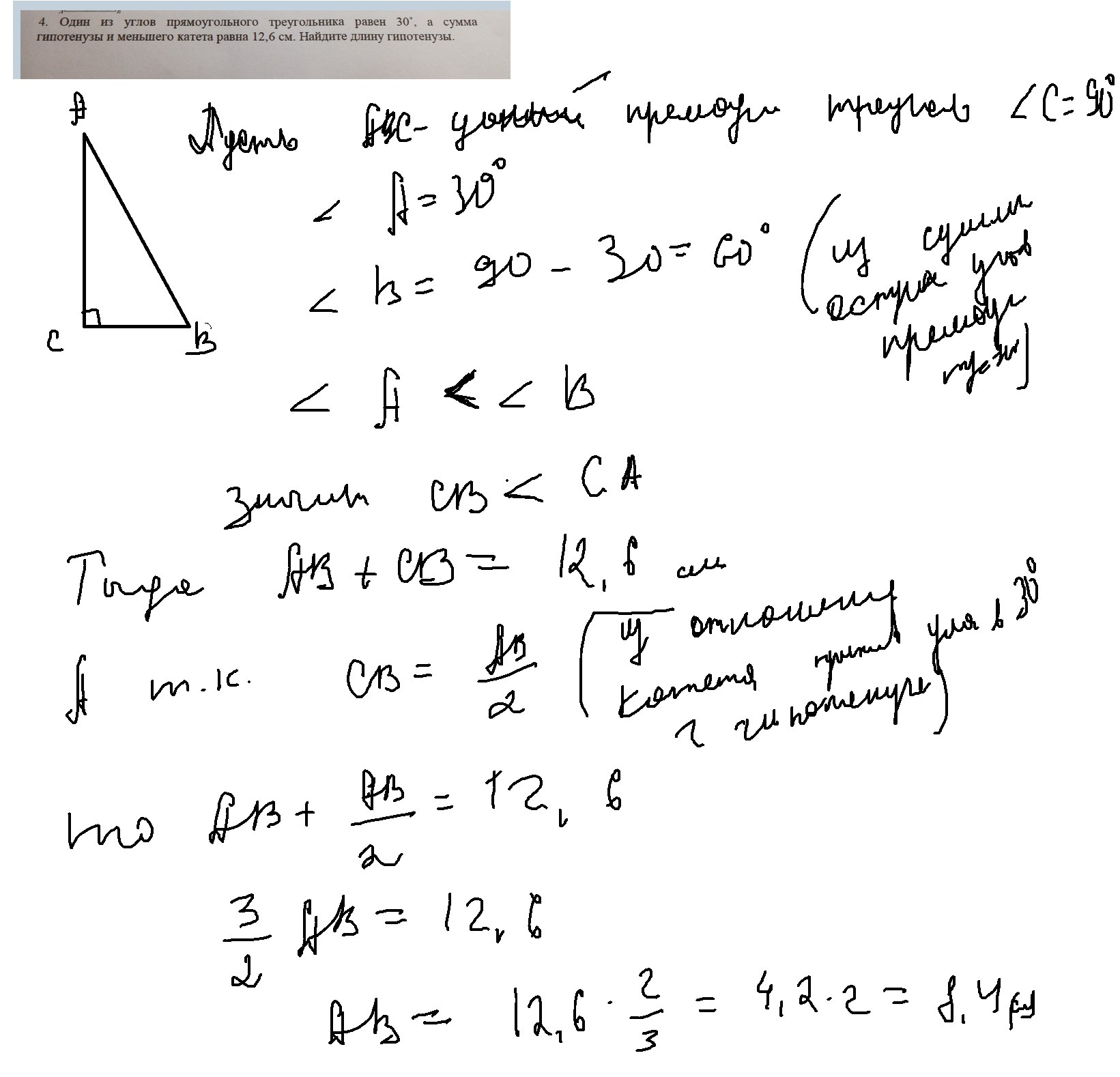
Погите пожалуйста решить задачу по геометрии( с рисунком). Очень срочноооо!!!Заранее большое спасибо

Приложения:

Ответы

Ответ дал: vikll
0

Погите пожалуйста решить задачу по геометрии( с рисунком).

Приложения:
Вас заинтересует