• Предмет: Математика
  • Автор: 333273818191726
  • Вопрос задан 8 лет назад

Помогите решить!
ctg4x=-√3

Ответы

Ответ дал: АнжелаХороманская
0

Ответ:

5π/24

Пошаговое объяснение:

ctg4x= -√3.

4х=5π/6.

х=5π/6:4.

х=5π/24

Ответ дал: maksrkz
0

Ответ:


Пошаговое объяснение:


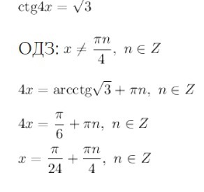
Приложения:
Вас заинтересует