ПОМОГИТЕ ПОЖАЛУЙСТА, ДАЮ 60 БАЛЛОВ!!!!
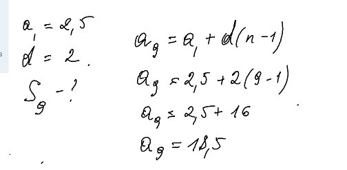
1. Дана арифметическая прогрессия (an). Известно, что a1=2,5 и d=2.
Вычисли сумму первых девяти членов арифметической прогрессии.
Запиши ответ в виде числа, округлив его до десятых:
Ответы
Ответ дал:
0
Ответ девятый член прогрессии : 18,5
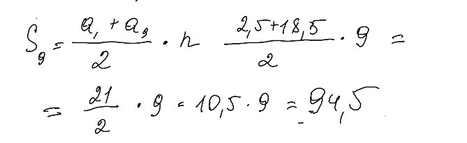
Сумма первых девяти : 94.5
Приложения:


Ответ дал:
0
Сумма первых девяти членов арифметической прогрессии высчитывается по формуле:
[/tex]
Приложения:


Вас заинтересует
2 года назад
2 года назад
3 года назад
3 года назад
8 лет назад
8 лет назад
9 лет назад