• Предмет: Алгебра
  • Автор: vityasuhofrukt
  • Вопрос задан 8 лет назад

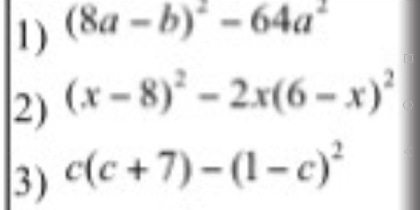
Помогите пожалуйста

Приложения:

Ответы

Ответ дал: akbota031101
0
1 )-b×(16a-b)
2) -2x³+25x²-88x+64
3)9c-1
Приложения:
Ответ дал: mihasavchenko466
0

1.(8a-b)²-64a²=64a²-b²-64a²=  -b²

2.(x-8)²-2x(6-x)²=x²-64+(-12x-2x²)²=x-64-144x²-4x⁴

3.c(c+7)-(1-c)²=c²+7c-(1-c²)=c²+7c-1+c²=2c²+7c-1

Приложения:
Ответ дал: akbota031101
0
(a-b)²=a²-2ab+b² ты ошибся
Вас заинтересует