• Предмет: Алгебра
  • Автор: maks1234578
  • Вопрос задан 8 лет назад

Найдите нули функции ( если они существуют) помагите паже

Приложения:

Ответы

Ответ дал: ShadoWFoxII
0
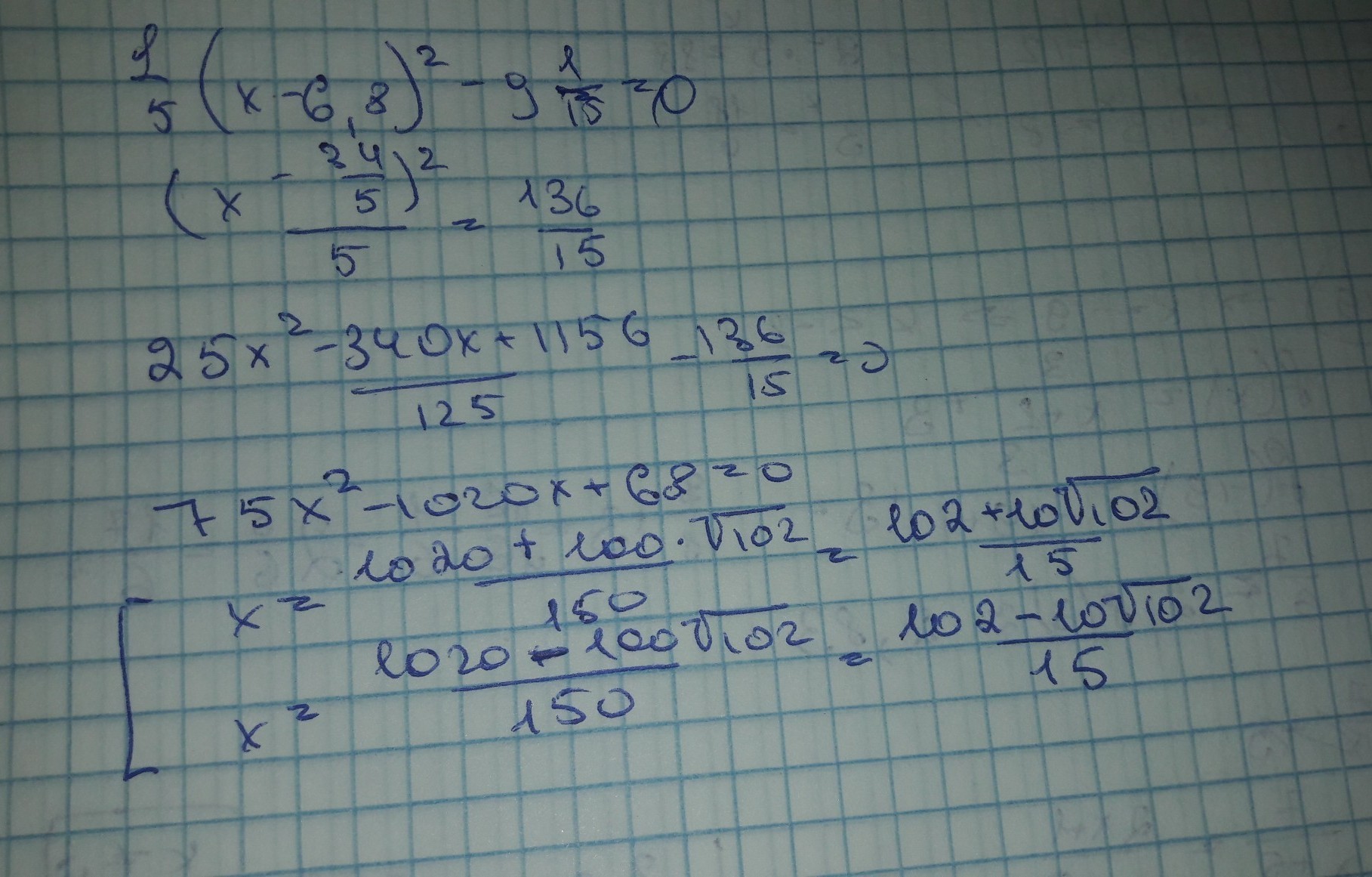
смотри ответ во вложении
Приложения:
Ответ дал: maks1234578
0
Когда напишеш а то уже ночь
Ответ дал: ShadoWFoxII
0
Отметь решение, которое я написал выше, как лучшее
Ответ дал: ShadoWFoxII
0
И я скину
Ответ дал: maks1234578
0
Отметел
Ответ дал: ShadoWFoxII
0
тоже самое с тем сделай
Вас заинтересует