• Предмет: Математика
  • Автор: Rubailo29233
  • Вопрос задан 8 лет назад

помагите решыть пожалуста

Приложения:

Ответы

Ответ дал: Efrosya
0
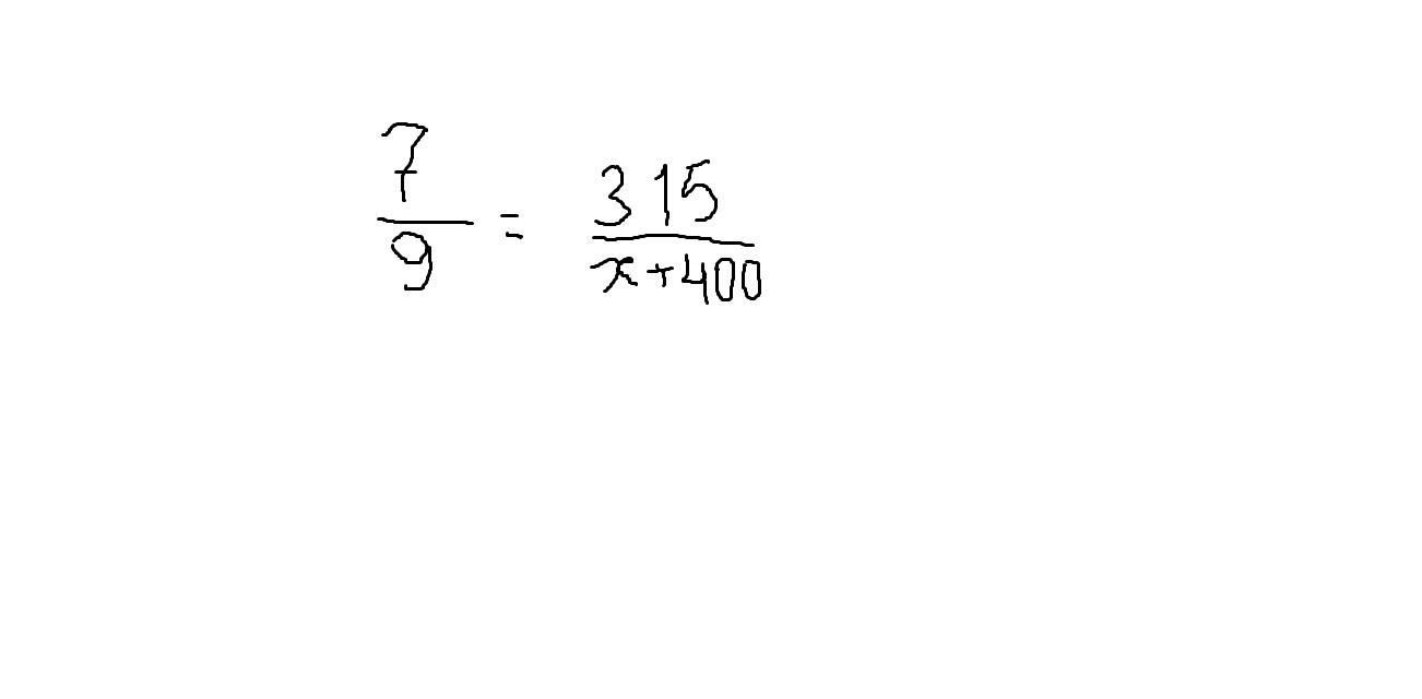
7(х+400)=315*9
7х+2800=2835
7х=2835-2800
7х=35
х=35÷7
х=5
Вас заинтересует