• Предмет: Алгебра
  • Автор: lizavetamikita
  • Вопрос задан 8 лет назад

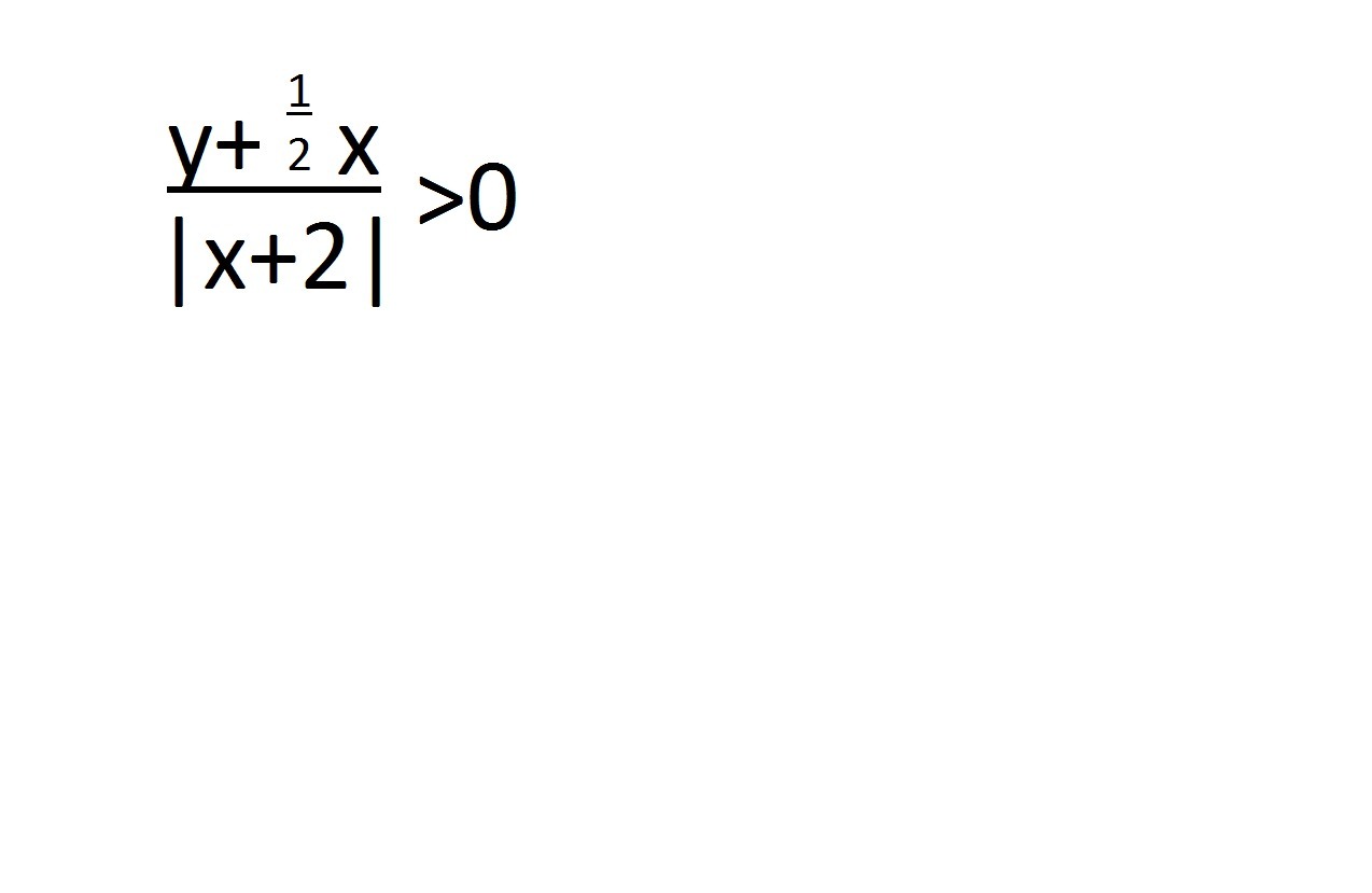
Пожалуйта, помогите решить, не понимаю, что делать. Нужно довести

Приложения:

Ответы

Ответ дал: m11m
0

!!!!!!!!!!!!!!!!!!!!!!!

Приложения:
Ответ дал: lizavetamikita
0
Спасибо!
Вас заинтересует