• Предмет: Алгебра
  • Автор: anonim9425
  • Вопрос задан 8 лет назад

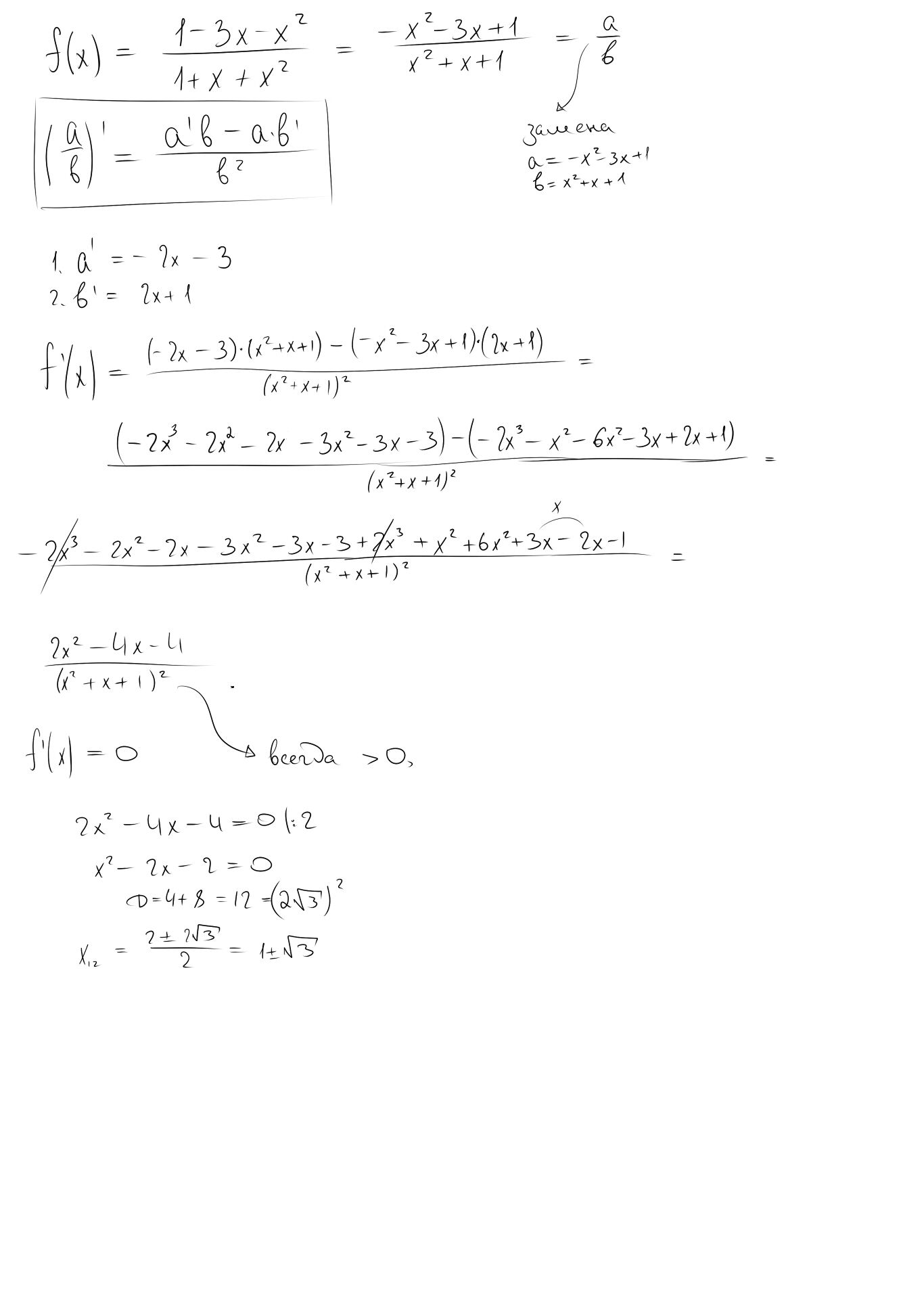
Решите уравнение f'(x)=0: f(x)=1-3x-x^2/1+x+x^2.

Ответы

Ответ дал: csharp
0

####################

Приложения:
Ответ дал: anonim9425
0
Спс
Вас заинтересует