• Предмет: Алгебра
  • Автор: vanek77711
  • Вопрос задан 11 лет назад

Во вложении              
плз

Приложения:

Ответы

Ответ дал: Artem112
0
y= sqrt{3-x} 
\
3-x geq 0
\
x leq 3

f(x)=1-x^2
\
f(2)=1-2^2=1-4=-3
\
f(-x)=1-(-x)^2=1-x^2

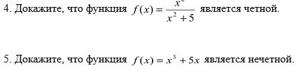
f(x)=x^3+5x
\
f(-x)=(-x)^3+5(-x)=-(x^3+5x)=-f(x)

В четвертом номере степень не видно....
Ответ дал: vanek77711
0
куб)
Вас заинтересует