Ответы
Ответ дал:
0
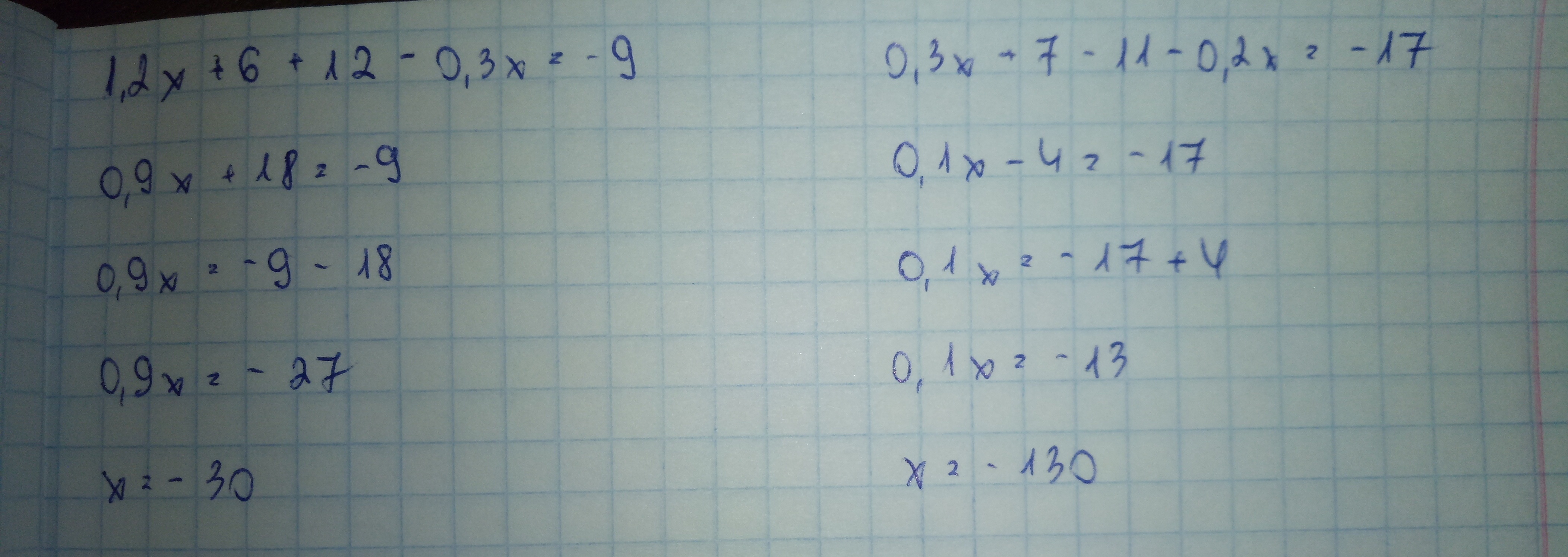
1) 1,2 x + 6 + 12 - 0,3x = -9
0,9x + 18 = -9
0.9x = -9 - 18
0.9x = -27
x= -30
0,9x + 18 = -9
0.9x = -9 - 18
0.9x = -27
x= -30
Ответ дал:
0
Ну вот что-то такое, наверное
Приложения:

Вас заинтересует
2 года назад
2 года назад
3 года назад
8 лет назад
8 лет назад