• Предмет: Алгебра
  • Автор: BekzatMuhanov
  • Вопрос задан 8 лет назад

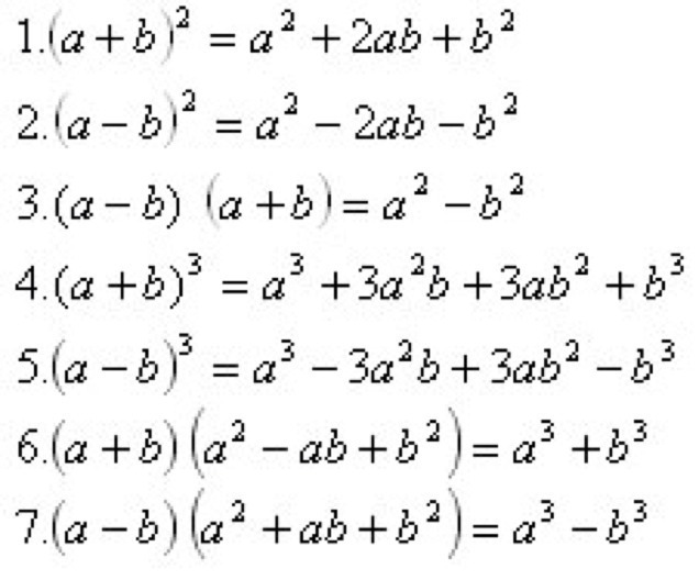
(а-2)^3 пш помощь Нужно Представьте в виде многочлена

Ответы

Ответ дал: golsal
0

a^3-6a^2+12a-8

что бы вывести это нужно решить уравнение (a-b)*(a-b)*(a-b)

Приложения:
Вас заинтересует