• Предмет: География
  • Автор: anonim9425
  • Вопрос задан 8 лет назад

Найдите производную функции:
1)f(x)=(4кореньx+3)(4кореньx-3)+2x^2.
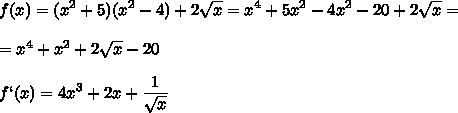
2)f(x)=(x^2+5)(x^2-4)+2кореньx
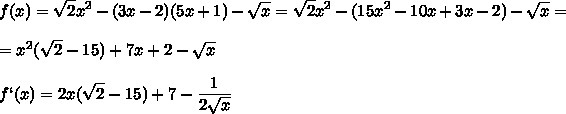
3)f(x)=корень2x^2-(3x-2)(5x+1)- кореньx

Ответы

Ответ дал: olgalavrova69
0

По фоткам поймешь 1 это 1 2 это 2 3 это 3

Приложения:
Вас заинтересует