• Предмет: Алгебра
  • Автор: anikleb23
  • Вопрос задан 8 лет назад

помогите пожалуйста!!!! заранее спасибо.

Приложения:

Ответы

Ответ дал: parus77
0

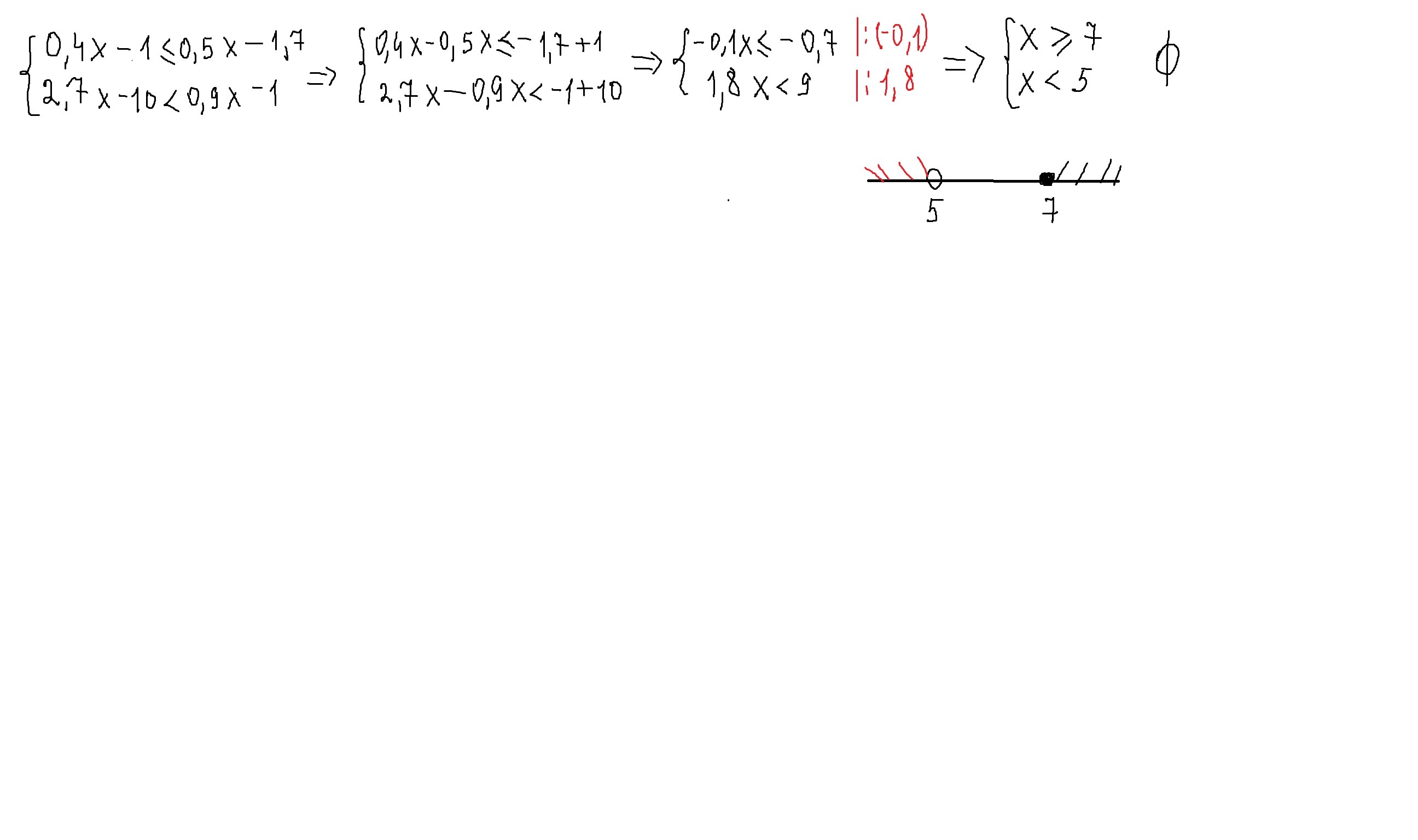
у меня получилось так

Приложения:
Ответ дал: anikleb23
0
да, спасибо правильно
Ответ дал: parus77
0
пожалуйста
Вас заинтересует