• Предмет: Алгебра
  • Автор: Daniil6722
  • Вопрос задан 8 лет назад

помогите пж. Обязательно перевести в десятичную дробь!

Приложения:

Ответы

Ответ дал: cambogiyt
0
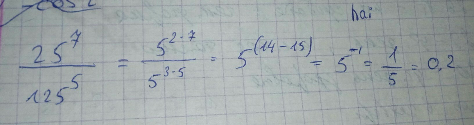
ответ смотри в приложении
Приложения:
Ответ дал: nocblka
0

 frac{25 {}^{7} }{125 {}^{5} }  =  frac{5 {}^{14} }{5 {}^{15} }  = frac{1}{5}
Приложения:
Вас заинтересует