• Предмет: Алгебра
  • Автор: incubus00
  • Вопрос задан 8 лет назад

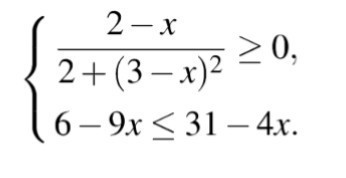
Решите систему неравенств

Приложения:

Ответы

Ответ дал: valenivan
0

Решение задания приложено

Приложения:
Ответ дал: m11m
0

!!!!!!!!!!!!!!!!!!!!!!!

Приложения:
Вас заинтересует