• Предмет: Алгебра
  • Автор: Pozitiv4ikyout
  • Вопрос задан 8 лет назад

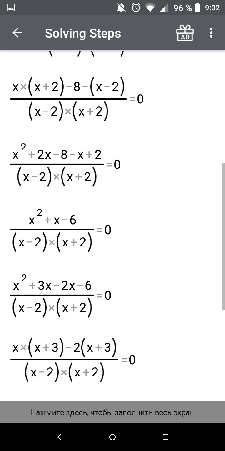
Решите уравнения пожалуйста срочно!!!

Приложения:

Ответы

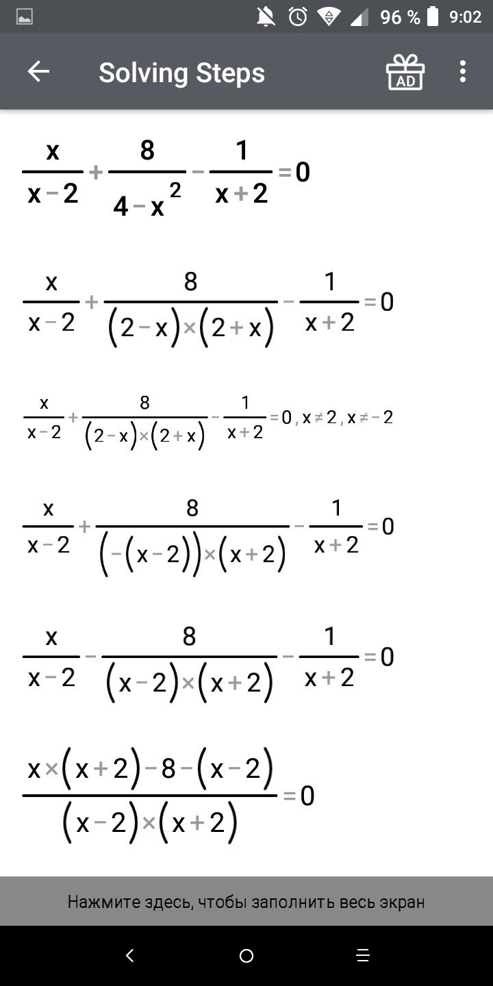
Ответ дал: owe4kina
0
√2 решён
надеюсь тебе это поможет
Приложения:
Вас заинтересует