упрастите выр-е и найдите его значение
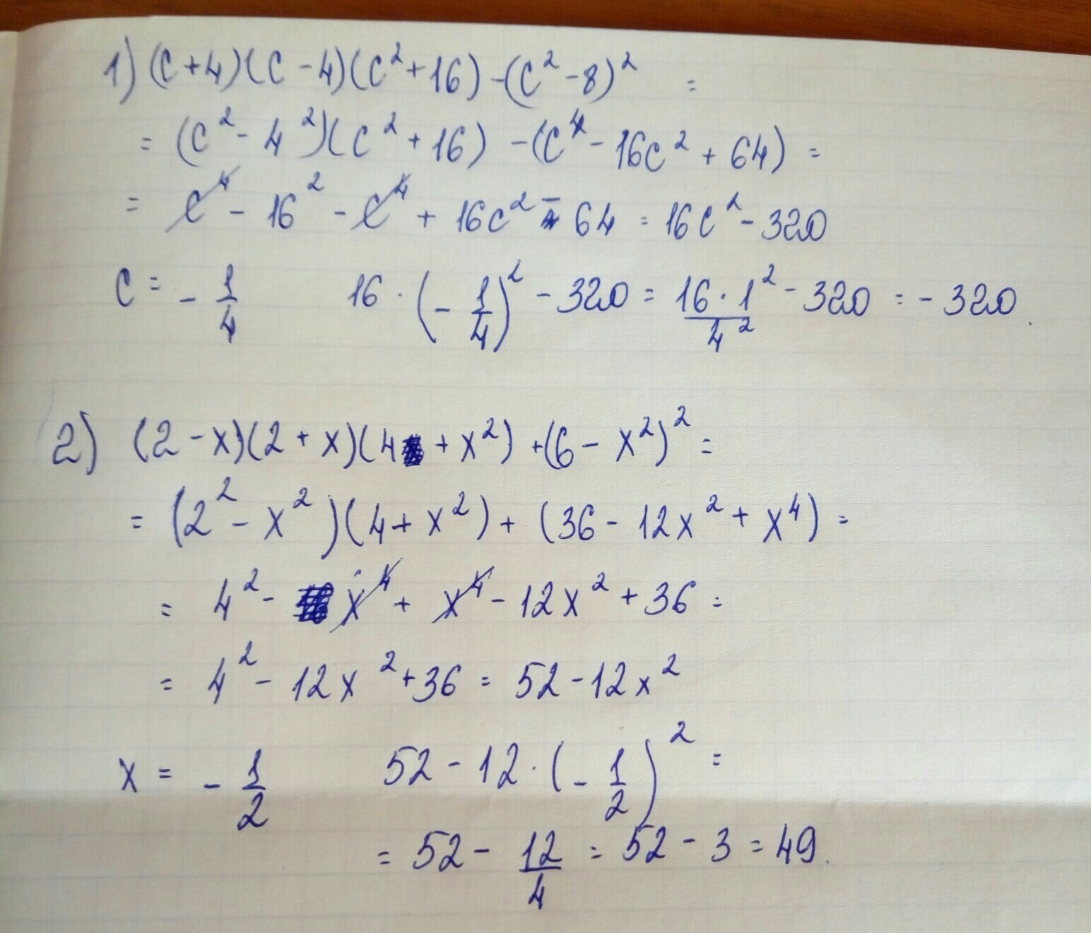
1) (c+4) • (c-4) (c²+16)-(c²-8)² при c=-1/4
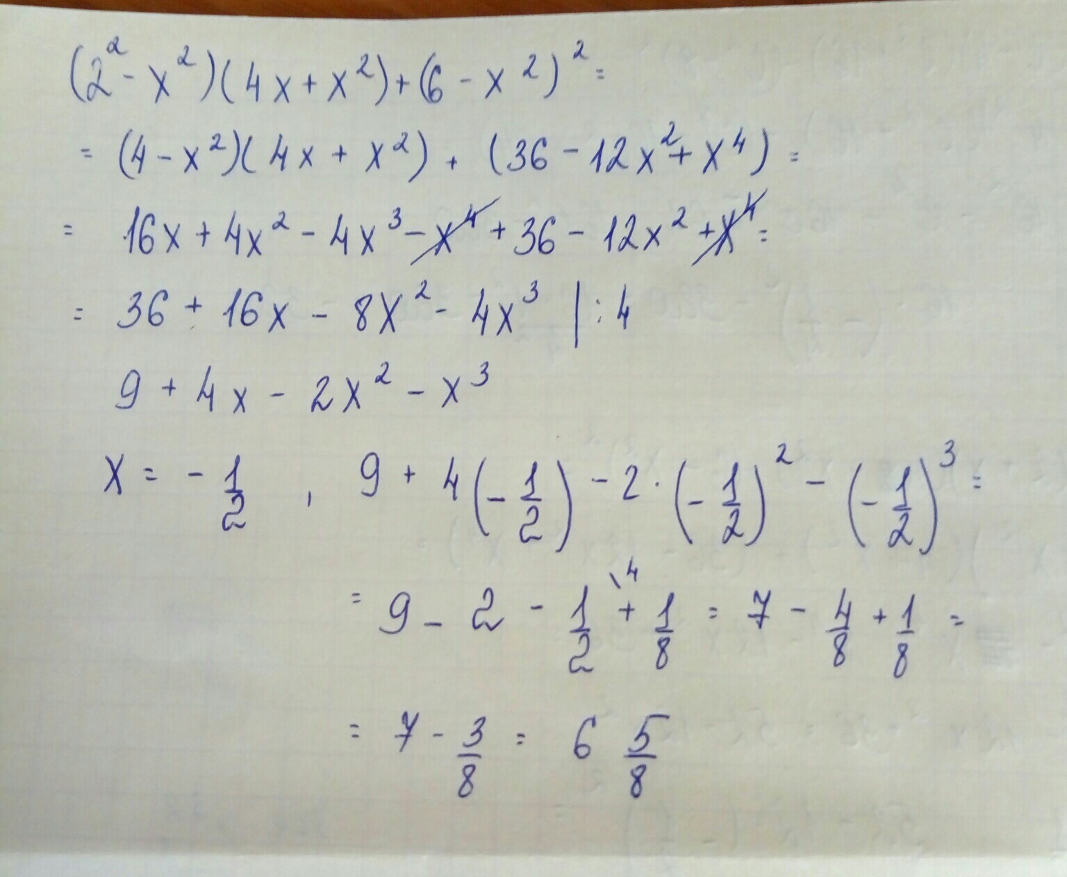
2) (2-x) (2+x) (4x+x²)+(6-x²)² при x= -1/2
пожалуйста помогите
Ответы
Ответ дал:
0
Мне кажется, что у тебя во втором примере опечатка, потому что они должны быть однотипными. Если нет, то скажи, и я порешаю ещё вариант
Приложения:


Ответ дал:
0
опечатки и быть не может , вроде всё верно написала
Ответ дал:
0
Я решила ещё один вариант для тебя
Ответ дал:
0
можете скинуть ? если не затруднит ?
Ответ дал:
0
спасибо увидела
Вас заинтересует
2 года назад
2 года назад
3 года назад
3 года назад
8 лет назад
9 лет назад
9 лет назад