Ответы
Ответ дал:
0
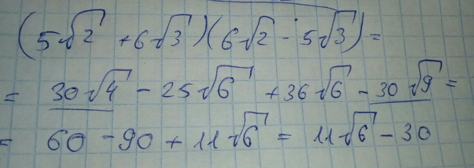
ответ на приложенном фото.
Раскрываем скобки "фонтанчиком"
Приложения:

Ответ дал:
0
вы в курсе, что корень умножить на корень будет подкорневое выражение без квадрата?
Ответ дал:
0
не в курсе
Ответ дал:
0
извините, а вы не могли бы помочь мне еще с одним заданием в профиле ? (6-√5) и т.д. булу признательна)
Вас заинтересует
2 года назад
2 года назад
3 года назад
9 лет назад
9 лет назад
9 лет назад