• Предмет: Математика
  • Автор: enotikmeme823
  • Вопрос задан 8 лет назад

Помогите с уровнением 5 класс

Приложения:

Ответы

Ответ дал: Ryslan728
0
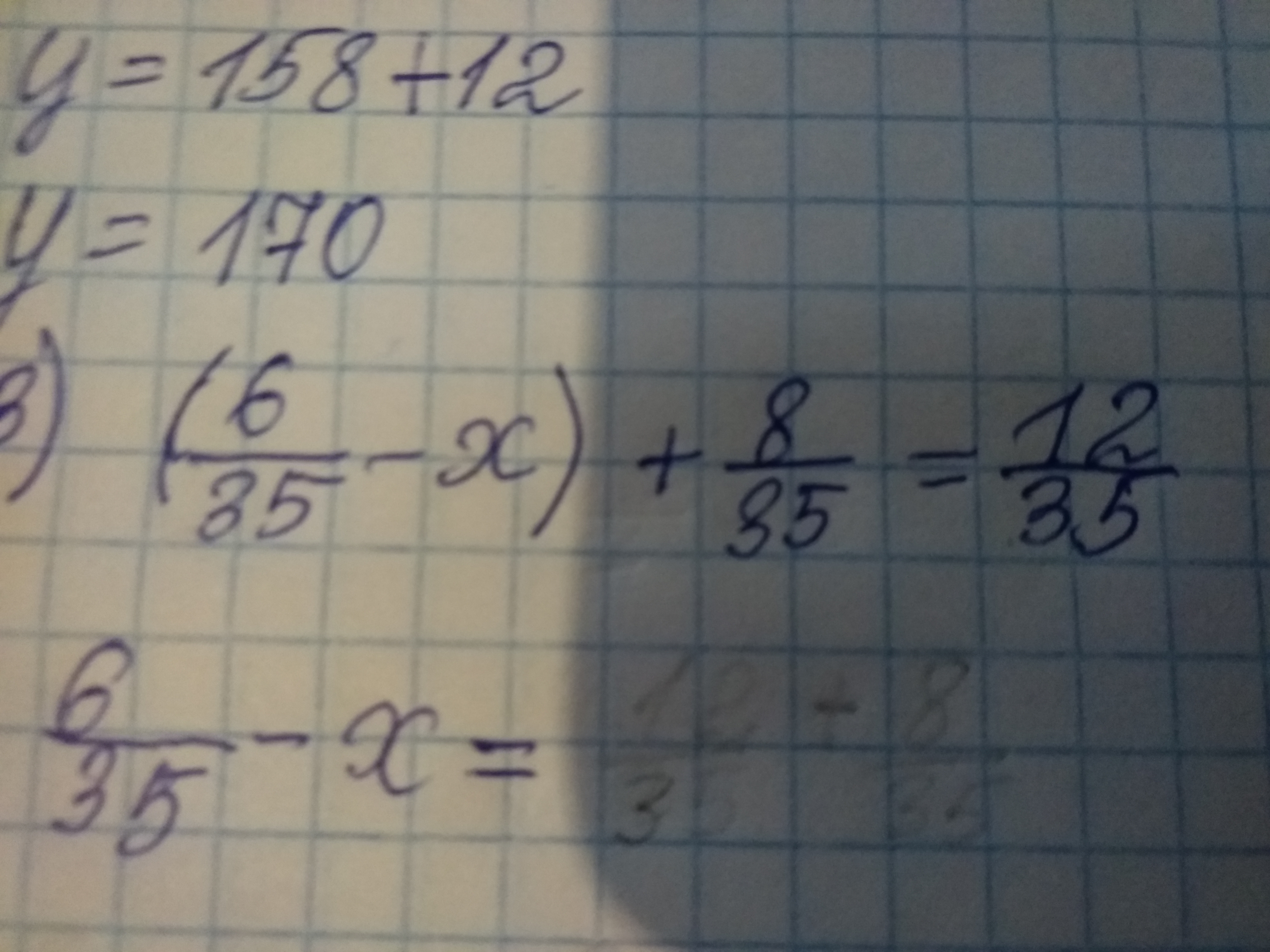
Вот ответ на данное уровнение
x=2/35
Ответ дал: gihomik
0

Ответ:


Пошаговое объяснение:

6/35-x+8/35=12/35

14/35-x=12/35

-x=14/35-12/35

-x=-2/35

x=2/35

Ответ дал: enotikmeme823
0
Простите где вы взяли 14
Ответ дал: gihomik
0
сложил 6/35 и 8/35
Ответ дал: enotikmeme823
0
Ясно это я
Вас заинтересует