• Предмет: Геометрия
  • Автор: polinkalife
  • Вопрос задан 8 лет назад

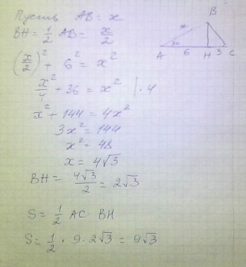
Помогите пожалуйста решить! В задаче использовать теорему Пифагора. См прикрепленный файл

Приложения:

Ответы

Ответ дал: Аноним
0

= решение = решение = решение = решение = решение =

Приложения:
Вас заинтересует