• Предмет: Алгебра
  • Автор: kokosik2831
  • Вопрос задан 8 лет назад

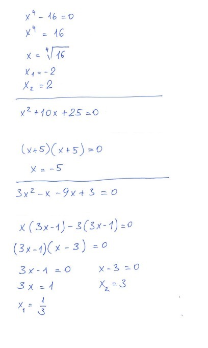
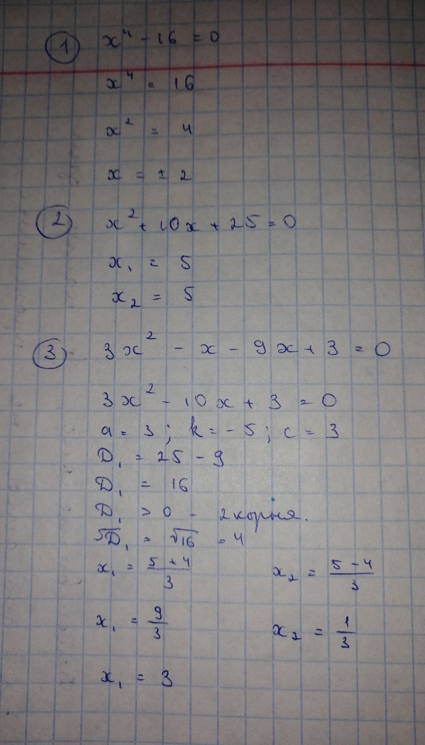
Решите уравнение
x⁴-16=0
x²+10x+25=0
3x²-x-9x+3=0

Ответы

Ответ дал: wiadorez
0
.........................
Приложения:
Ответ дал: Lod2000
0

см. вложение........................

Приложения:
Вас заинтересует