Ответы
Ответ дал:
0
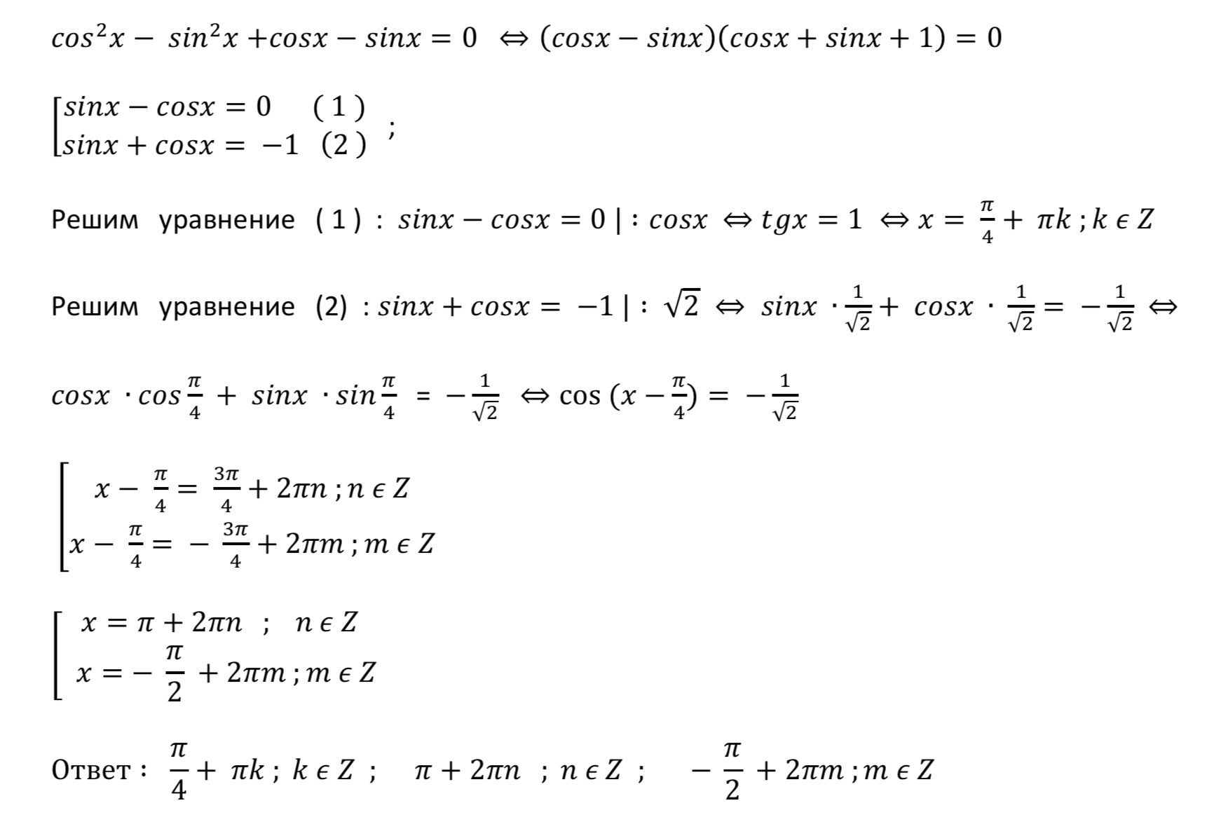
Применим универсальную тригонометрическую подстановку
При этом cos(π)+sin(π)+1=-1+0+1=0, значит нужно добавить решение
Ответ:
Ответ дал:
0
Решение : ////////////////////////////////////
Приложения:

Вас заинтересует
2 года назад
3 года назад
8 лет назад
8 лет назад
9 лет назад