Ответы
Ответ дал:
0
здравствуйте.

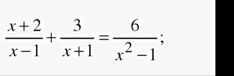
ODЗ: х≠1 и х≠-1
Дальше решаем по || формуле.

D=3²+7=16
√16=4

х2=1 - не удовлетворяет ОДЗ.
Ответ: -7.
удачи.
ODЗ: х≠1 и х≠-1
Дальше решаем по || формуле.
D=3²+7=16
√16=4
х2=1 - не удовлетворяет ОДЗ.
Ответ: -7.
удачи.
Ответ дал:
0
Спасибки
Вас заинтересует
2 года назад
2 года назад
3 года назад
3 года назад
9 лет назад
10 лет назад
10 лет назад