• Предмет: Математика
  • Автор: nikaveronika27
  • Вопрос задан 8 лет назад

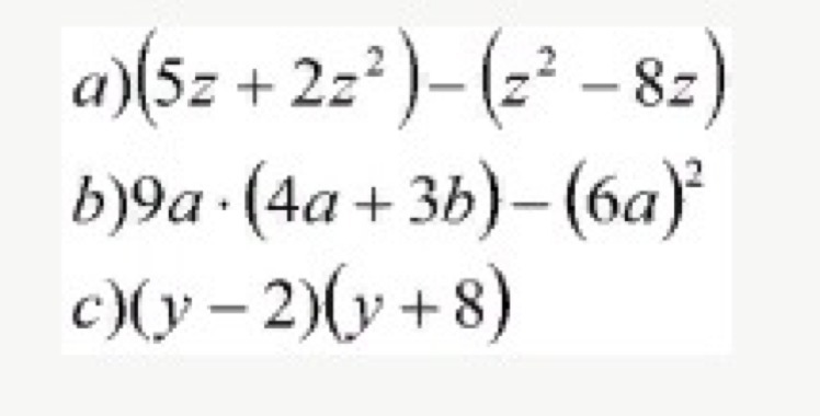
ПРОШУ ПОМОГИТЕ.РЕШИТЬ ПРИМЕРЫ,НЕ ПРОСТО ОТВЕТ А С ПОЛНЫМИ РЕШЕНИЯМИ! (СМОТРЕТЬ.ФОТО)

Приложения:

Ответы

Ответ дал: matan84
0

Ответ:


Пошаговое объяснение:

  1. (5z+2z²)-(z²-8z)=5z+2z²-z²+8z=z²+13z=z(z+13)                                                    
  2. 9a(4a+3b)-(6a)²=36a²+27ab-36a²=27ab
  3. (y-2)(y+8)=y²+8y-2y-16=y²-6y-16
Ответ дал: do78a868
0

Ответ:


Пошаговое объяснение:


Вас заинтересует