Ответы
Ответ дал:
0
Ответ:
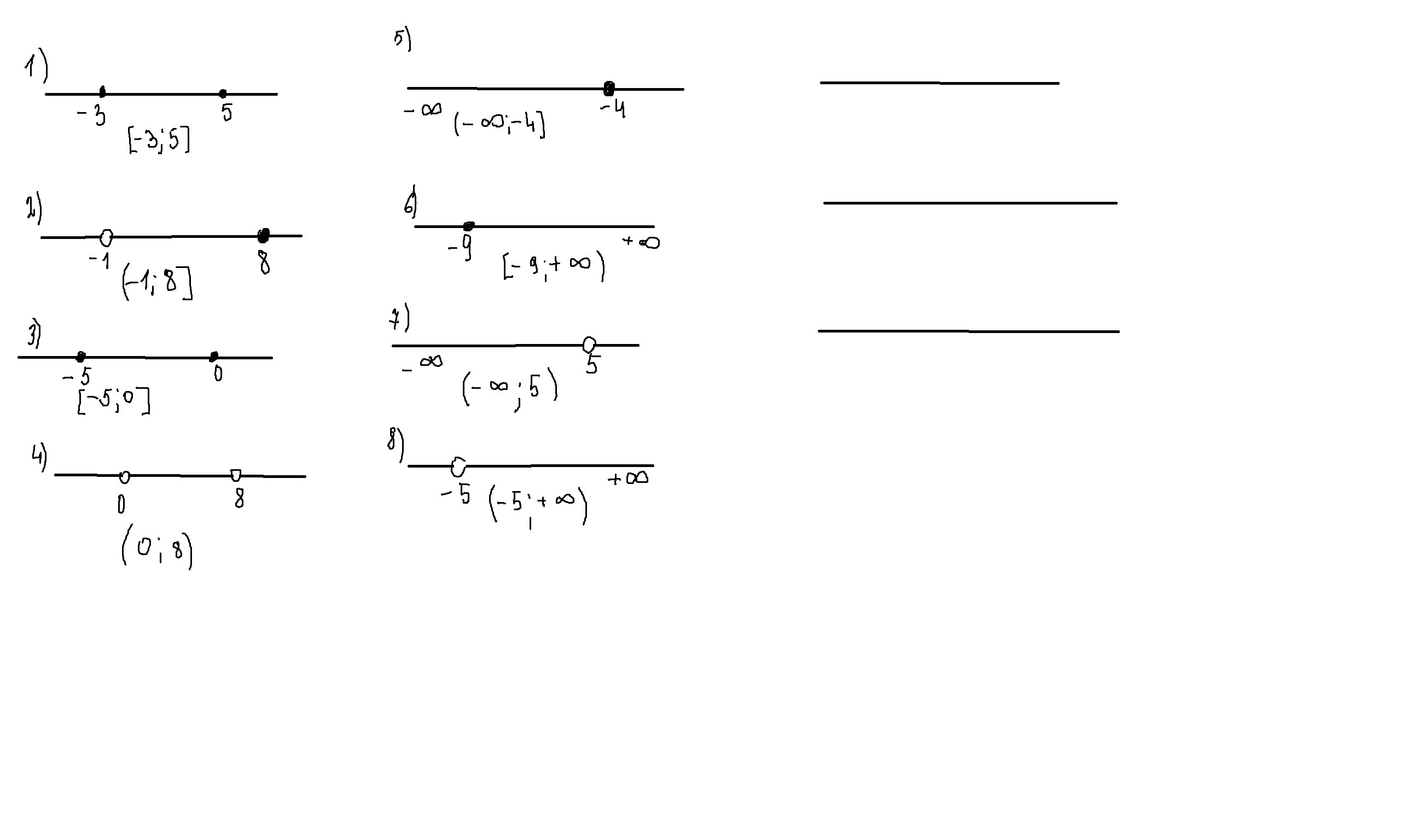
если скобки квадратные,то точки закрашены и концы отреза принадлежат промежутку.
если скобки круглые,то точки не закрашены(как бы "проколоты) и они не принадлежат промежутку
Приложения:

Вас заинтересует
2 года назад
3 года назад
8 лет назад
9 лет назад