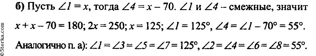
найдите все углы , образовавшиеся при пересечении двух прямых и секущей , если один угл на 50 градусов больше другого
Ответы
Ответ дал:
0
70 замени на 50
.
.
.
.
.
.
.
.
.
.
.
.
.
.
.
.
.
.
.
.
.
.
.
.
.
.
.
.
.
.
.
.
.
.
.
.
Приложения:

Вас заинтересует
2 года назад
2 года назад
3 года назад
3 года назад
8 лет назад
8 лет назад
9 лет назад