Ответы
Ответ дал:
0
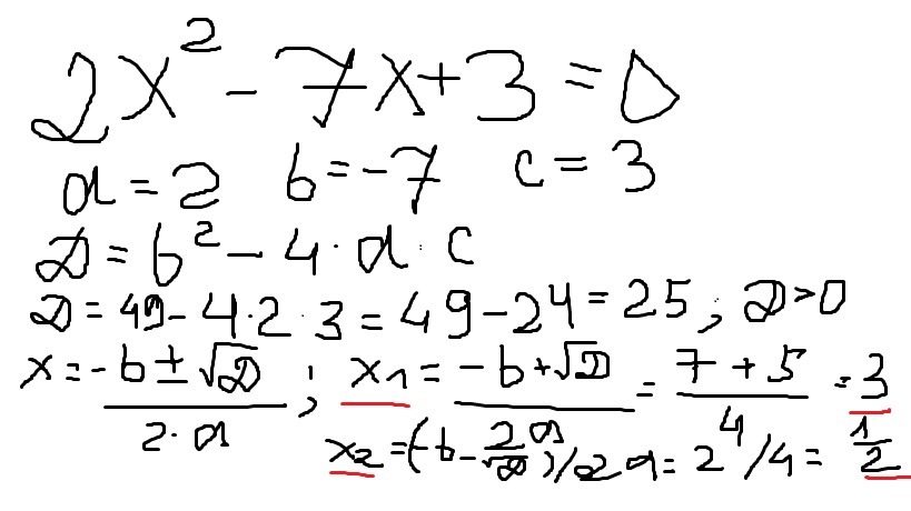
2x^2-7x+3=0 D=b^2-4ac=49-4*2*3=49-24=25, x=7+5 /4=3 , x=7-5 /4=1/2
Ответ дал:
0
x2=(7-5)/4=1/2
x1=(7+5)/4=3
Приложения:

Вас заинтересует
2 года назад
2 года назад
3 года назад
8 лет назад
8 лет назад
9 лет назад