• Предмет: Алгебра
  • Автор: korol577
  • Вопрос задан 8 лет назад

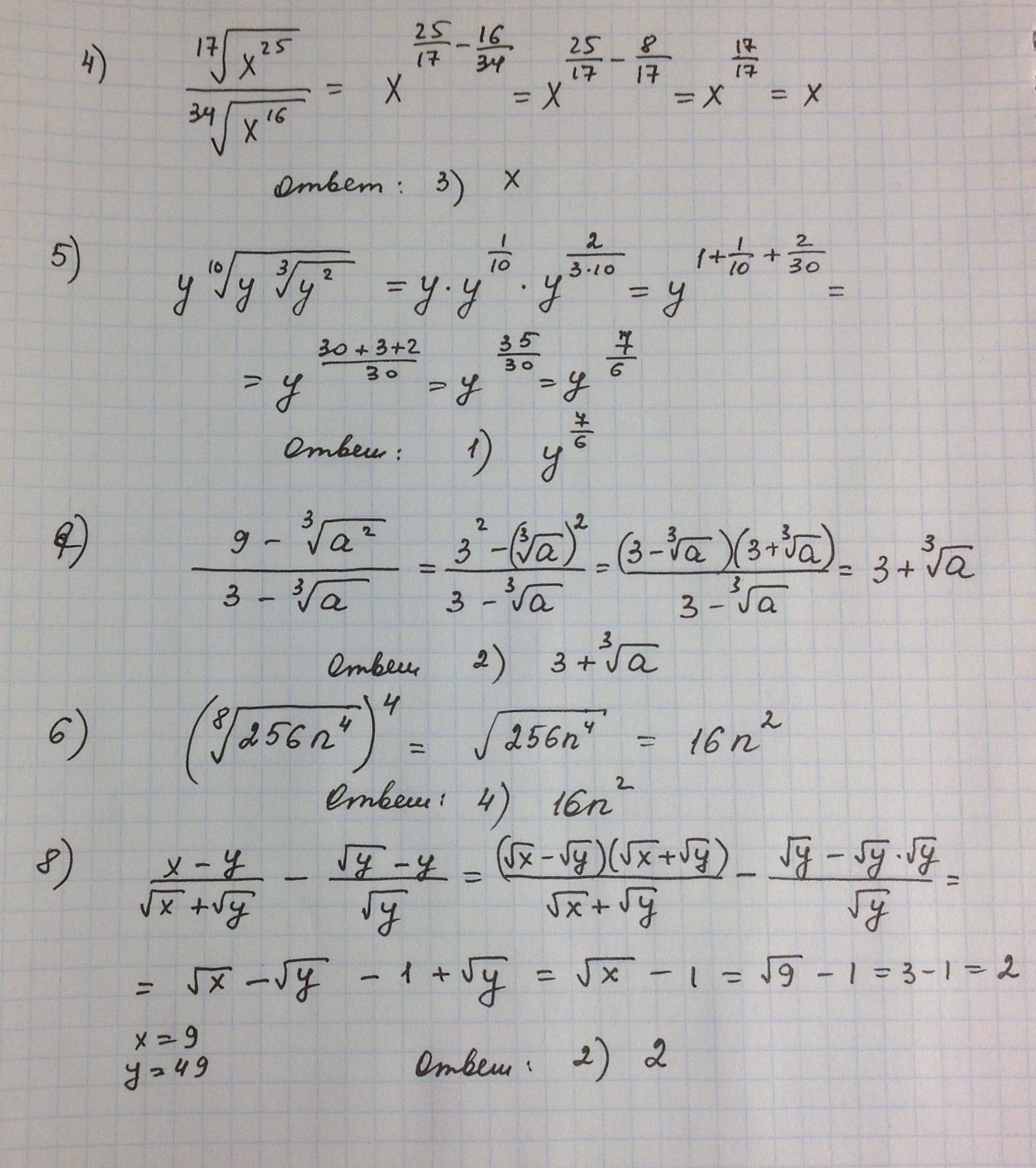
решите с 4 по 8 задание
даю 45 баллов

Приложения:

Ответы

Ответ дал: maksimcat
0

Ответ на фото///////////////////////

Приложения:
Вас заинтересует