• Предмет: Математика
  • Автор: svetlana111137
  • Вопрос задан 8 лет назад

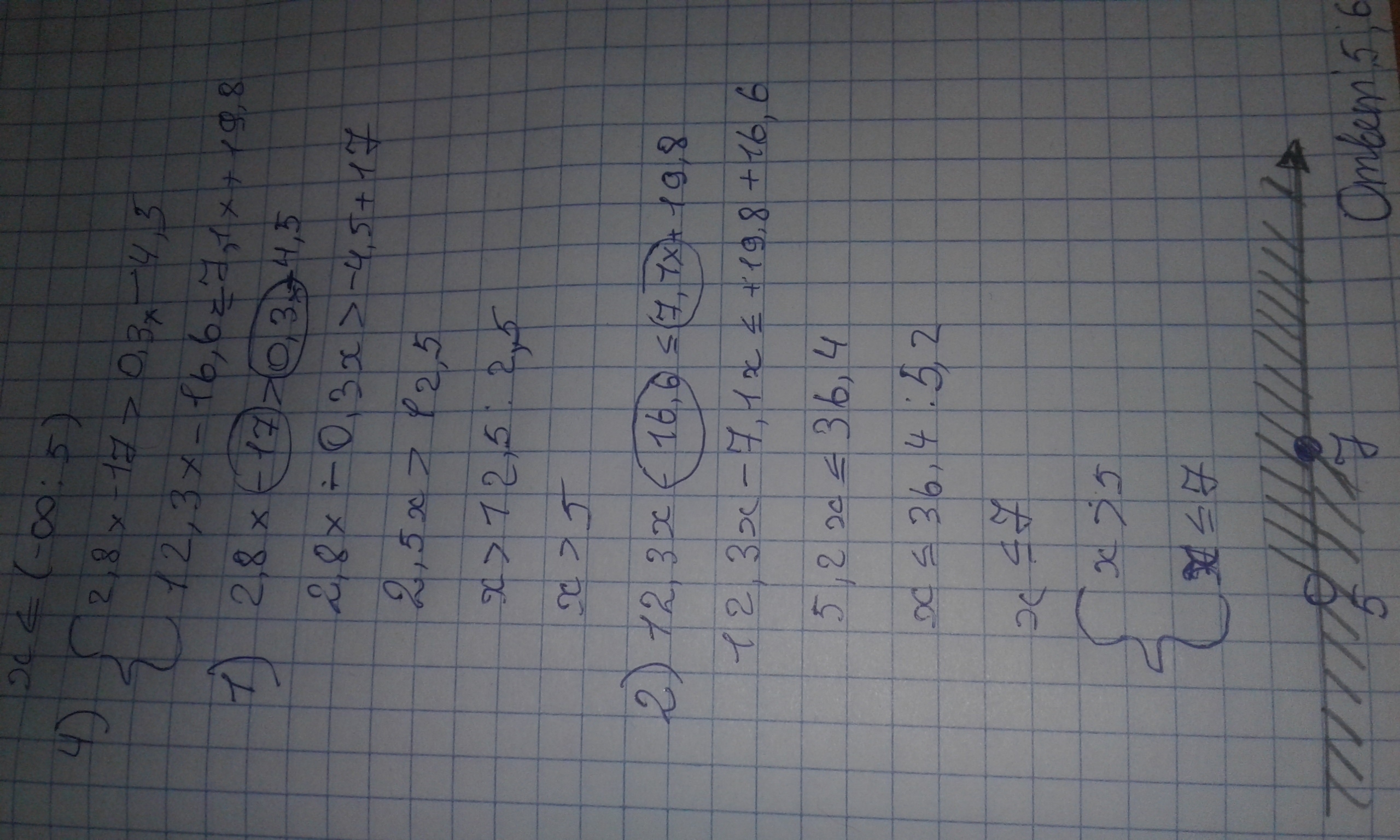
найдите целые решения системы неравенств 2,8x - 17>0,3x -4,5 и 12,3x -16,6 < или равно 7,1x+19,8

Ответы

Ответ дал: angellina28
0

{2,8х-17>0,3х-4,5

{12,3х-16,6 больше или равно 7,1х+19,8

Ответ: 5;6

Приложения:
Ответ дал: mi2504BTS
0
Будет не 5 а 6 так как это строгое не равенство
Вас заинтересует