Ответы
Ответ дал:
0
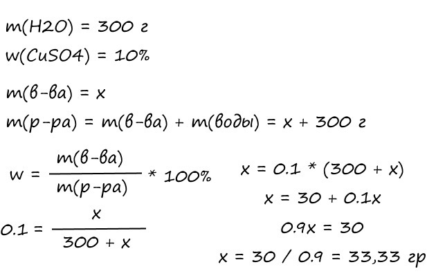
Ответ во вложении...........
Приложения:

Ответ дал:
0
Cпасибо огромное!
Ответ дал:
0
;)
Вас заинтересует
2 года назад
2 года назад
3 года назад
3 года назад
8 лет назад
8 лет назад
9 лет назад