• Предмет: Алгебра
  • Автор: liza2685
  • Вопрос задан 8 лет назад

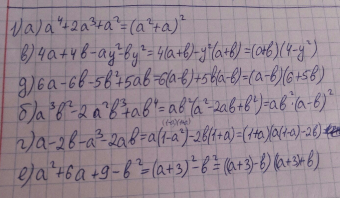
Разложите на множители многочлен .

Приложения:

Ответы

Ответ дал: olgacherednichenko5
0

Пожалуйста. .............

Приложения:
Вас заинтересует