• Предмет: Математика
  • Автор: saskasasnaya
  • Вопрос задан 8 лет назад

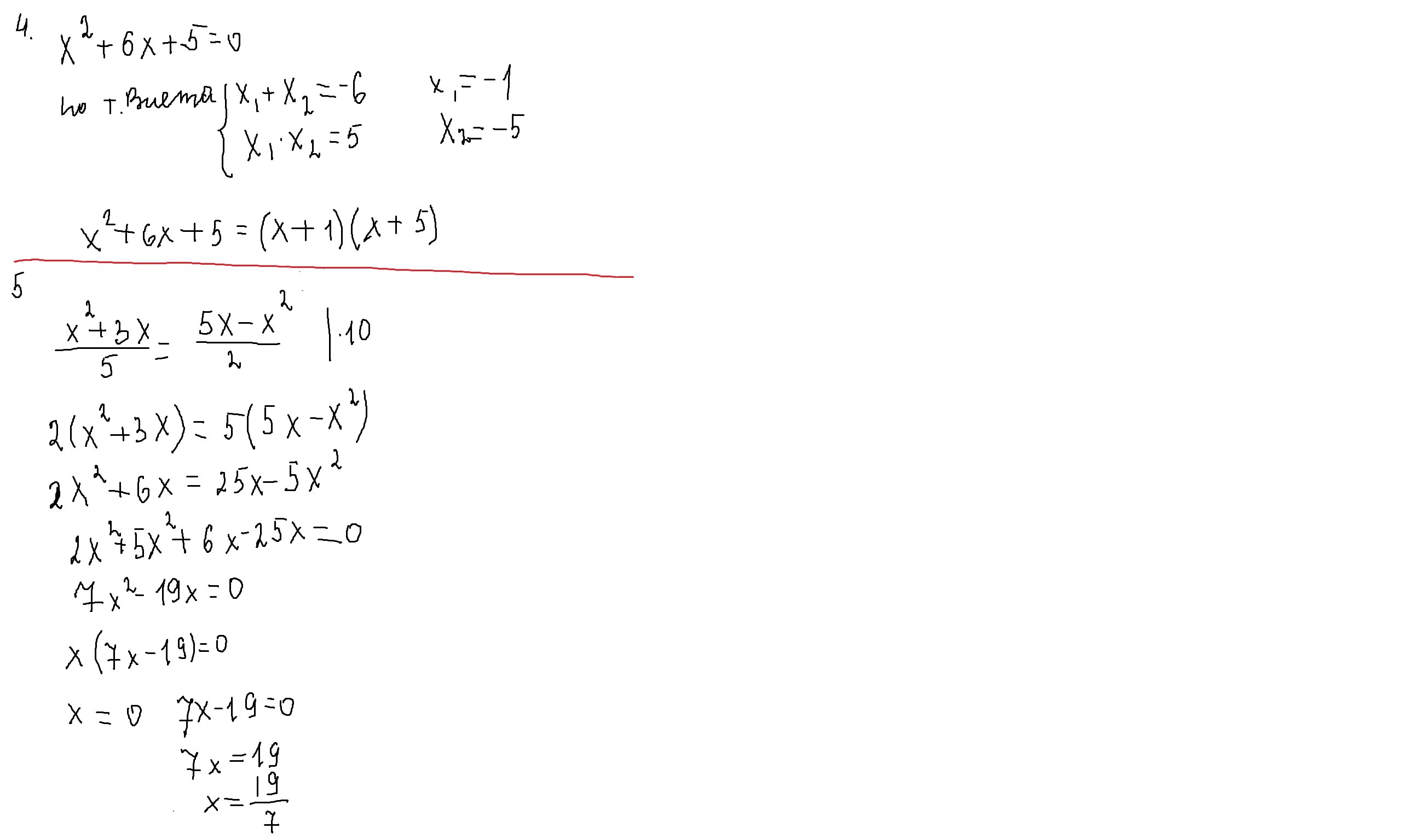
4 и 5 ПРОШУ ПОЖАЛУЙСТА МАТЕМАТИЧКА УБЬЕТ РЕАЛЬНО :(

Приложения:

Ответы

Ответ дал: parus77
0

Ответ:

смотри решение внизу



Приложения:
Вас заинтересует