Ответы
Ответ дал:
0
Пошаговое объяснение:
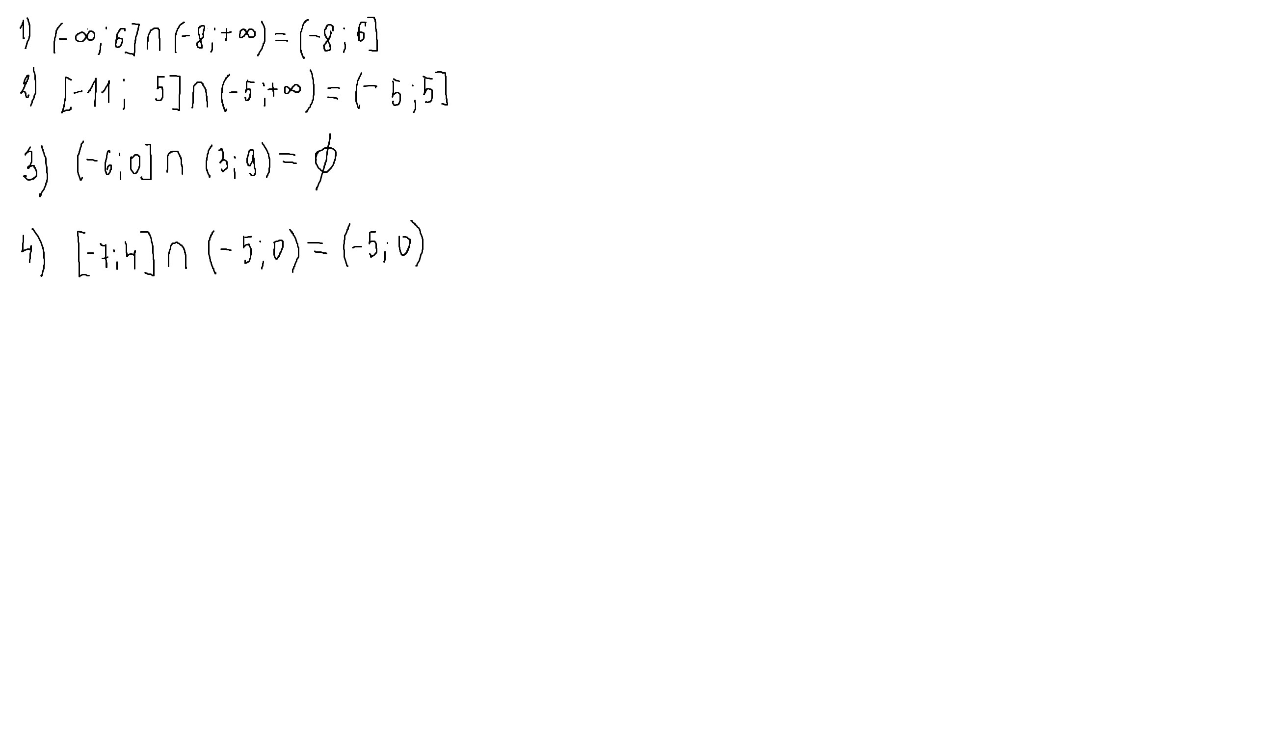
1) (-8;6]
2) (-5;5]
3) не пересекаются
4) (-5;0)
Ответ дал:
0
Ответ:
пересечение-это там где штриховка и снизу и сверху.если точка закрашена-скобка квадратная,где"дырка" то скобка круглая
Приложения:

Вас заинтересует
2 года назад
3 года назад
3 года назад
8 лет назад
8 лет назад
9 лет назад