• Предмет: Алгебра
  • Автор: SAANGEL02
  • Вопрос задан 8 лет назад

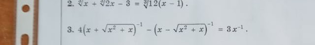
Решите 3 пж если сможеье

Приложения:

Ответы

Ответ дал: magistor9
0
4х^-1 + 4 - х^-1 = 3х^-1
3х^-1 - 3х^-1 = 4
х=4

Вас заинтересует