• Предмет: Математика
  • Автор: Artur646
  • Вопрос задан 8 лет назад

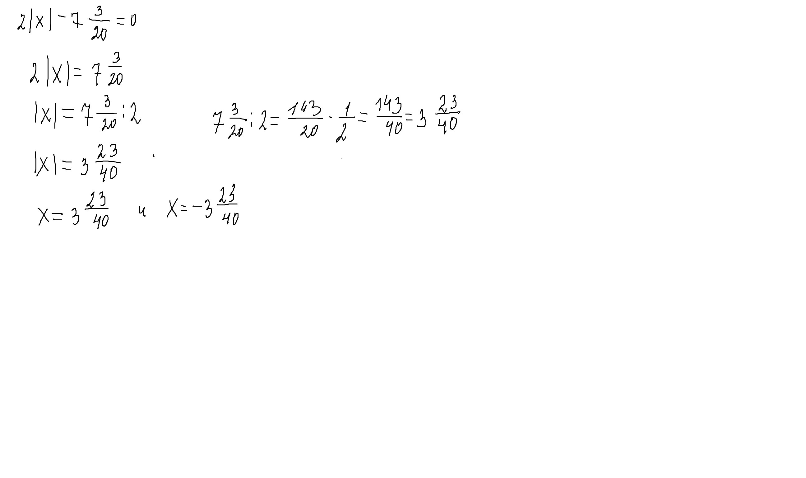
2|х|-7 3/20=0
Решите подробно и 7 3/20 это смешанное число

Ответы

Ответ дал: parus77
0

Ответ:решение смотри внизу




Приложения:
Вас заинтересует