эскалатор метро поднимает неподвижно стоящего пассажира в течение 2 минут по неподвижному эскалатору пассажир поднимается за 4 минуты сколько времени будет подниматься идущий вверх пассажир по движущемуся эскалатору
Ответы
Ответ дал:
0
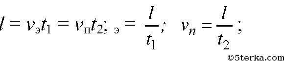
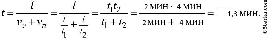
Дано: t1 = 2 мин; t2 = 4 мин.
Найти: t.
Решение.
Приложения:


Ответ дал:
0
а можно с объяснениями
Вас заинтересует
2 года назад
3 года назад
8 лет назад
8 лет назад