• Предмет: Алгебра
  • Автор: Basudzy1Ray
  • Вопрос задан 8 лет назад

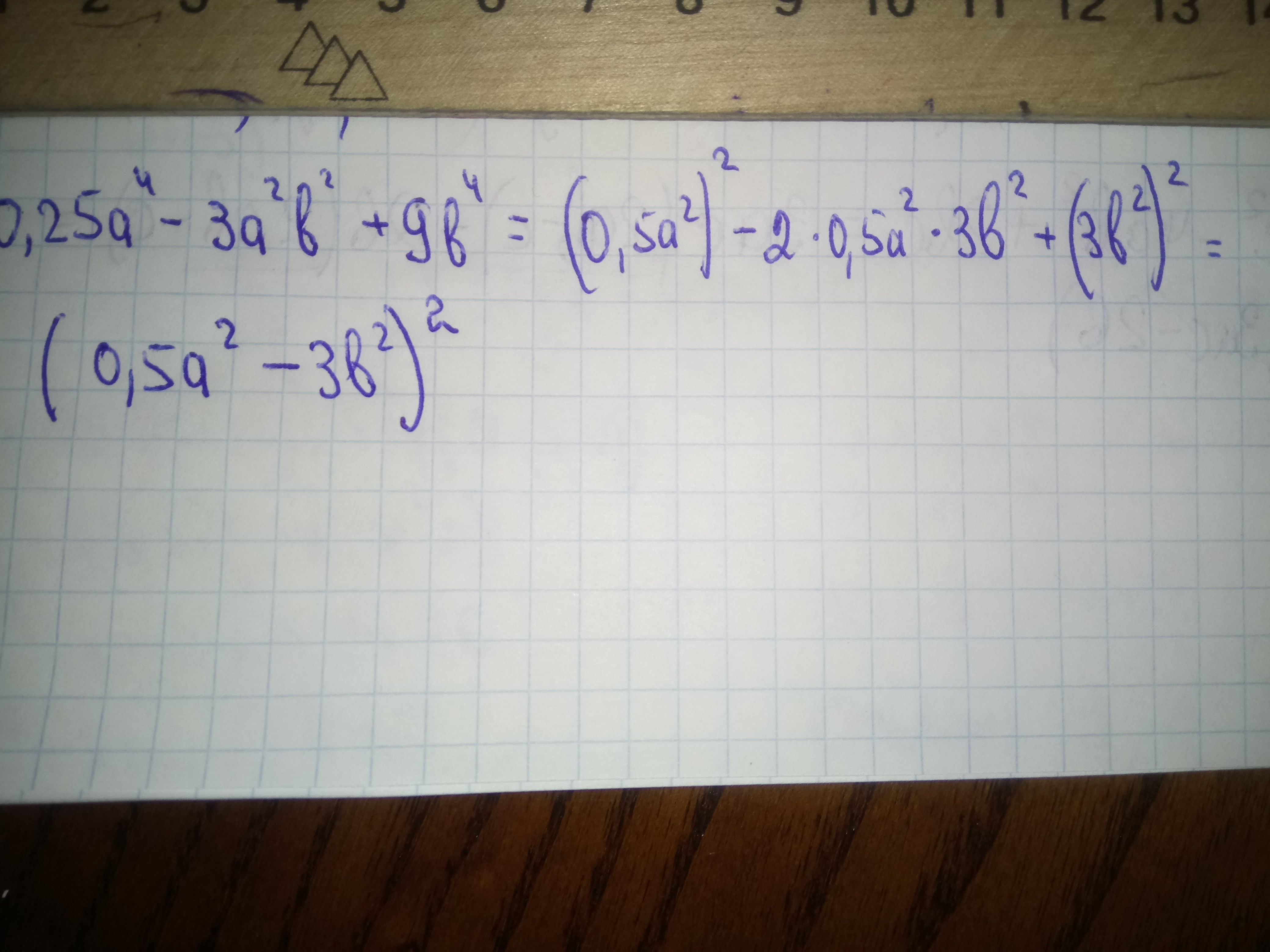
0,25a^4 - 3a^2b^2+9b^4
Хелп

Ответы

Ответ дал: valenivan
0

ФСУ. Решение задания приложено

Приложения:
Ответ дал: 2407Alexa
0
0,25a⁴ - 3a²b²+9b⁴=(0,5а²)²-2×0,5a²×3b²+(3b²)²=(0,5a²-3b²)²
Приложения:
Вас заинтересует