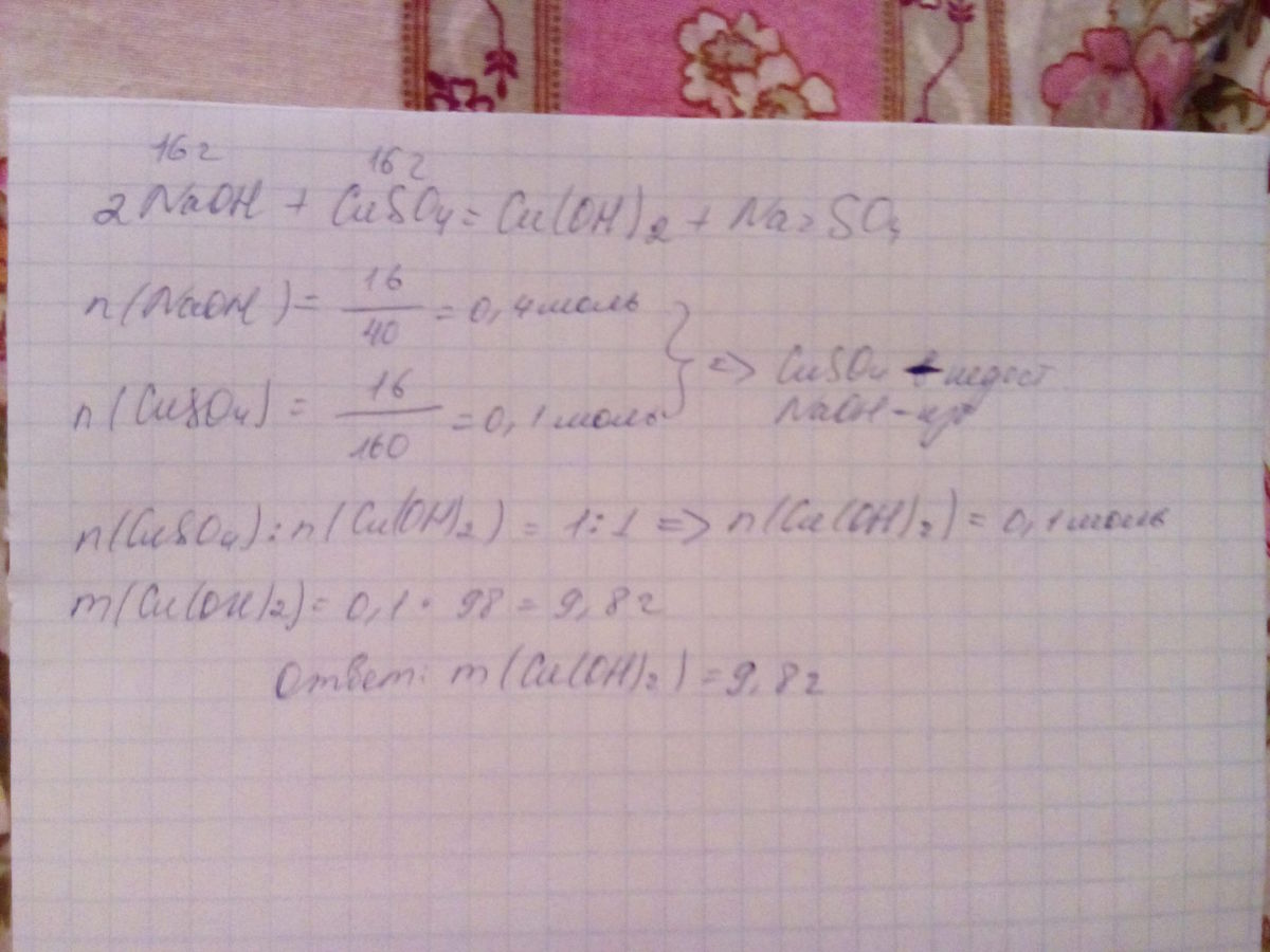
Какова масса гидроксида меди 2, полученного при реакции 16гр гидроксида натрия и 16 гр сульфата меди 2
Ответы
Ответ дал:
0
масса гидроксида меди 2 равна 9,8 г
Приложения:

Вас заинтересует
2 года назад
2 года назад
8 лет назад
8 лет назад
10 лет назад
10 лет назад
10 лет назад