Ответы
Ответ дал:
0
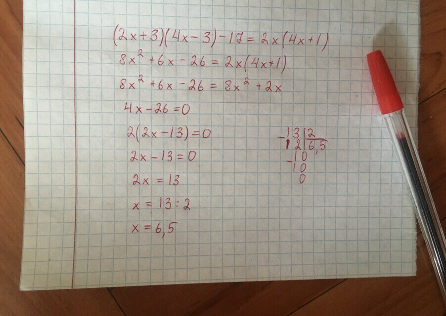
(2х+3)*(4х-3) - 17 = 2х* (4х+1)
2х*4х + 3*4х - 2х*3 -3*3 - 17 = 2х*4х + 2х*1
8х² + 12х - 6х - 9 - 17 = 8х² + 2х
8х² - 8х² + 12х - 6х - 2х = 9 + 17
4х = 26
х = 6,5
2х*4х + 3*4х - 2х*3 -3*3 - 17 = 2х*4х + 2х*1
8х² + 12х - 6х - 9 - 17 = 8х² + 2х
8х² - 8х² + 12х - 6х - 2х = 9 + 17
4х = 26
х = 6,5
Ответ дал:
0
Все решения во вложении.
Приложения:

Вас заинтересует
2 года назад
2 года назад
3 года назад
8 лет назад
8 лет назад
9 лет назад