• Предмет: Математика
  • Автор: Flazy322
  • Вопрос задан 8 лет назад

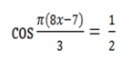
Cos П(8x+7)/3=1/2. Найдите наибольший отрицательный корень

Приложения:

Ответы

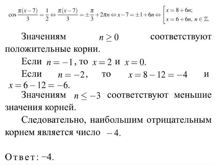
Ответ дал: kitta88
0
Вот так !!!!!!!!!!!!!!!!!!!!!!!!!!!!!!!!!!!!!!!!!
Приложения:
Вас заинтересует